Dědění je způsob, jak se majetek po smrti člověka předává... Zobrazit více
Registruj se, abys viděl obsahJe to zdarma!
Přístup ke všem dokumentům
Zlepši své známky
Připoj se k milionům studentů
Knowunity AI
Předměty
Triangle Congruence and Similarity Theorems
Triangle Properties and Classification
Linear Equations and Graphs
Geometric Angle Relationships
Trigonometric Functions and Identities
Equation Solving Techniques
Circle Geometry Fundamentals
Division Operations and Methods
Basic Differentiation Rules
Exponent and Logarithm Properties
Zobrazit všechna témata
Human Organ Systems
Reproductive Cell Cycles
Biological Sciences Subdisciplines
Cellular Energy Metabolism
Autotrophic Energy Processes
Inheritance Patterns and Principles
Biomolecular Structure and Organization
Cell Cycle and Division Mechanics
Cellular Organization and Development
Biological Structural Organization
Zobrazit všechna témata
Chemical Sciences and Applications
Atomic Structure and Composition
Molecular Electron Structure Representation
Atomic Electron Behavior
Matter Properties and Water
Mole Concept and Calculations
Gas Laws and Behavior
Periodic Table Organization
Chemical Thermodynamics Fundamentals
Chemical Bond Types and Properties
Zobrazit všechna témata
European Renaissance and Enlightenment
European Cultural Movements 800-1920
American Revolution Era 1763-1797
American Civil War 1861-1865
Global Imperial Systems
Mongol and Chinese Dynasties
U.S. Presidents and World Leaders
Historical Sources and Documentation
World Wars Era and Impact
World Religious Systems
Zobrazit všechna témata
Classic and Contemporary Novels
Literary Character Analysis
Rhetorical Theory and Practice
Classic Literary Narratives
Reading Analysis and Interpretation
Narrative Structure and Techniques
English Language Components
Influential English-Language Authors
Basic Sentence Structure
Narrative Voice and Perspective
Zobrazit všechna témata
173
•
Aktualizováno Apr 27, 2026
•
Klára Řeháková
@klraehkov
Dědění je způsob, jak se majetek po smrti člověka předává... Zobrazit více





Dědění znamená přechod vlastnických práv z zůstavitele (zemřelého) na dědice (pozůstalého). Je to automatický proces, který nastane po smrti každého člověka.
Existují tři způsoby, jak se dědí. Dědická smlouva je dohoda uzavřená ještě za života zůstavitele formou notářského zápisu. Výhodou je, že ji nelze jednostranně zrušit, ale 1/4 majetku musí zůstat volná pro závěť.
Závěť je tvá poslední vůle napsaná buď rukou (holografní), na počítači (alografní), nebo formou notářského zápisu. Můžeš ji kdykoliv zrušit nebo změnit. Privilegovanou závěť můžeš pořídit i ústně v ohrožení života.
💡 Důležité: Závěť můžeš napsat už v 15 letech, ale musí být ve formě notářského zápisu.
Pokud nemáš dědickou smlouvu ani závěť, dědí se ze zákona podle 6 dědických tříd. V první třídě dědí manžel/ka a děti stejným dílem, v dalších třídách postupně vzdálenější příbuzní.

Neopominutelný dědic je potomek zůstavitele, který má právo na povinný díl bez ohledu na závěť. Zletilý dostane minimálně 1/4 zákonného podílu, nezletilý 3/4.
Potomka můžeš vydědit jen v přesně stanovených případech - neposkytl pomoc v nouzi, neprojevuje zájem o rodinu, byl odsouzen za trestný čin, vede nezřízený život nebo je marnotratný. Vydědění se píše formou závěti.
Dědic může dědictví odmítnout do 1 měsíce od dozvědění se o něm (ze zahraničí do 3 měsíců). Odmítnout musí celý podíl a už to nejde vzít zpět. Odmítnutý podíl připadne jeho potomkům.
⚠️ Pozor: Dluhy jsou součástí dědictví! Pokud se bojíš dluhů, můžeš požádat o výhradu soupisu majetku.
Odúmrť nastane, když nikdo nedědí - majetek přechází na stát, který za dluhy odpovídá jen do výše nabytého majetku.

Společné jmění (SJ) vzniká uzavřením manželství a zahrnuje majetek i dluhy obou manželů. K jakémukoliv nakládání s majetkem potřebuješ souhlas partnera.
Do SJ patří veškerý majetek nabytý za manželství, včetně zisku z výlučného vlastnictví jednoho manžela. Například pokud vlastníš byt a pronajímáš ho, příjem patří oběma.
Výjimky ze SJ jsou věci osobní potřeby, dary, dědictví nebo náhrady nemajetkové újmy určené konkrétně jednomu manželovi. Rozsah SJ můžete měnit rozhodnutím soudu.
💰 Prakticky: Předmanželskou smlouvou si můžete upravit pravidla vlastnictví podle svých představ.
SJ zaniká rozvodem, smrtí nebo prohlášením za mrtvého. Během manželství může zaniknout na návrh soudu, při trestu propadnutí majetku nebo vyhlášení konkursu jednoho z manželů.

Vypořádání SJ řeší vlastnické vztahy po zániku společného jmění. Probíhá buď dohodou, rozhodnutím soudu, nebo zákonnou domněnkou.
Základní zásady jsou stejné podíly pro oba manžele, zajištění potřeb nezletilých dětí a přihlédnutí k péči o rodinu. Každý si může nárokovat úhradu toho, co vynaložil na společný majetek.
Zákonná domněnka se uplatní, pokud se do 3 let nedohodnete. Nemovitosti přejdou do podílového spoluvlastnictví a movité věci získá ten, kdo je výhradně užívá.
🏠 Bydlení: Máte právo společného nájmu, které vzniká ze zákona nebo smlouvou. V případě domácího násilí může soud vyloučit jednoho manžela z užívání bytu.
Společný nájem znamená stejná práva i povinnosti pro oba manžely. Vznik můžete dohodou vyloučit. Při domácím násilí je možné požádat soud o dočasné vyloučení agresora na měsíc až rok.
Náš AI společník je speciálně vytvořen pro potřeby studentů. Na základě milionů obsahových materiálů, které máme na platformě, můžeme studentům poskytovat opravdu smysluplné a relevantní odpovědi. Ale nejde jen o odpovědi, společník je ještě více o provázení studentů jejich každodenními výzvami v učení, s personalizovanými studijními plány, kvízy nebo obsahovými materiály v chatu a 100% personalizací na základě dovedností a vývoje studentů.
Aplikaci si můžete stáhnout z obchodu Google Play a Apple App Store.
Ano, máte bezplatný přístup k obsahu v aplikaci a k našemu společníkovi s umělou inteligencí. Chcete-li odemknout určité funkce aplikace, můžete si zakoupit aplikaci Knowunity Pro.
App Store
Google Play
Aplikace je velmi jednoduchá na používání a dobře navržená. Zatím jsem našel vše, co jsem hledal, a mohl jsem se z prezentací hodně naučit! Určitě použiju aplikaci na školní úkol! A samozřejmě taky hodně pomáhá jako inspirace.
Stefan S
uživatel iOS
Tahle aplikace je fakt skvělá. Je tam tolik studijních poznámek a pomůcek [...]. Můj problémový předmět je například francouzština a aplikace nabízí tolik možností pomoci. Díky této aplikaci jsem si zlepšil francouzštinu. Doporučil bych ji každému.
Samantha Klich
uživatelka Androidu
Páni, jsem opravdu ohromen. Zkusil jsem aplikaci jen proto, že jsem ji mnohokrát viděl v reklamách, a byl jsem naprosto ohromen. Tato aplikace je TA POMOC, kterou chceš do školy, a především nabízí spoustu věcí, jako jsou cvičení a přehledy faktů, které mi osobně VELMI pomohly.
Anna
uživatelka iOS
Dříve jsem měl problémy s dokončováním úkolů včas, dokud jsem neobjevil Knowunity, který nejen usnadňuje nahrávání mého vlastního obsahu, ale také poskytuje skvělé shrnutí, díky kterým je moje práce rychlejší a efektivnější.
Thomas R
uživatel iOS
Vždy bylo výzvou najít všechny důležité informace pro mé úkoly – od té doby, co používám Knowunity, můžu jednoduše nahrát svůj obsah a těžit ze shrnutí ostatních, což mi hodně pomáhá s organizací.
Lisa M
uživatelka Androidu
Často jsem měl pocit, že nemám dostatečný přehled při učení, ale od té doby, co používám Knowunity, to už neplatí – nahraju svůj obsah a vždy najdu užitečná shrnutí na platformě, což mi učení značně usnadňuje.
David K
uživatel iOS
Ta aplikace je prostě skvělá! Stačí zadat téma do vyhledávání a dostanu odpověď opravdu rychle. Nemusím koukat na 10 YouTube videí, abych něčemu porozuměl, takže šetřím čas. Vřele doporučuji!
Sudenaz Ocak
uživatel Androidu
Ve škole mi matematika vůbec nešla, ale díky této aplikaci se mi teď daří lépe. Jsem moc vděčný, že jste tuhle aplikaci vytvořili.
Greenlight Bonnie
uživatel Androidu
Dřív bylo opravdu těžké shromáždit všechny informace na moje prezentace. Ale od té doby, co používám Knowunity, prostě nahraju svoje poznámky a najdu skvělé souhrny od ostatních – díky tomu je moje studium mnohem efektivnější!
Julia S
uživatelka Androidu
Byl jsem neustále ve stresu kvůli všem studijním materiálům, ale od té doby, co používám Knowunity, nahrávám svoje věci a koukám na super souhrny od ostatních – opravdu mi to pomáhá všechno lépe zvládat a je to mnohem méně stresující.
Marco B
uživatel iOS
TY KVÍZY A KARTIČKY SOU TAK UŽITEČNÝ A MILUJU Knowunity AI. JE TO TAKY DOSLOVA JAKO CHATGPT ALE CHYTŘEJŠÍ!! POMOHLO MI TO I S PROBLÉMY S ŘASENKOU!! A TAKY S MÝMA SKUTEČNÝMA PŘEDMĚTAMA! JASNÝ 😍😁😲🤑💗✨🎀😮
Sarah L
uživatelka Androidu
Dřív jsem trávil hodiny googlováním školních materiálů, ale teď prostě nahraju svoje věci na Knowunity a prohlížím si užitečné souhrny od ostatních – při přípravě na zkoušky se cítím mnohem jistější.
Paul T
uživatel iOS
Aplikace je velmi jednoduchá na používání a dobře navržená. Zatím jsem našel vše, co jsem hledal, a mohl jsem se z prezentací hodně naučit! Určitě použiju aplikaci na školní úkol! A samozřejmě taky hodně pomáhá jako inspirace.
Stefan S
uživatel iOS
Tahle aplikace je fakt skvělá. Je tam tolik studijních poznámek a pomůcek [...]. Můj problémový předmět je například francouzština a aplikace nabízí tolik možností pomoci. Díky této aplikaci jsem si zlepšil francouzštinu. Doporučil bych ji každému.
Samantha Klich
uživatelka Androidu
Páni, jsem opravdu ohromen. Zkusil jsem aplikaci jen proto, že jsem ji mnohokrát viděl v reklamách, a byl jsem naprosto ohromen. Tato aplikace je TA POMOC, kterou chceš do školy, a především nabízí spoustu věcí, jako jsou cvičení a přehledy faktů, které mi osobně VELMI pomohly.
Anna
uživatelka iOS
Dříve jsem měl problémy s dokončováním úkolů včas, dokud jsem neobjevil Knowunity, který nejen usnadňuje nahrávání mého vlastního obsahu, ale také poskytuje skvělé shrnutí, díky kterým je moje práce rychlejší a efektivnější.
Thomas R
uživatel iOS
Vždy bylo výzvou najít všechny důležité informace pro mé úkoly – od té doby, co používám Knowunity, můžu jednoduše nahrát svůj obsah a těžit ze shrnutí ostatních, což mi hodně pomáhá s organizací.
Lisa M
uživatelka Androidu
Často jsem měl pocit, že nemám dostatečný přehled při učení, ale od té doby, co používám Knowunity, to už neplatí – nahraju svůj obsah a vždy najdu užitečná shrnutí na platformě, což mi učení značně usnadňuje.
David K
uživatel iOS
Ta aplikace je prostě skvělá! Stačí zadat téma do vyhledávání a dostanu odpověď opravdu rychle. Nemusím koukat na 10 YouTube videí, abych něčemu porozuměl, takže šetřím čas. Vřele doporučuji!
Sudenaz Ocak
uživatel Androidu
Ve škole mi matematika vůbec nešla, ale díky této aplikaci se mi teď daří lépe. Jsem moc vděčný, že jste tuhle aplikaci vytvořili.
Greenlight Bonnie
uživatel Androidu
Dřív bylo opravdu těžké shromáždit všechny informace na moje prezentace. Ale od té doby, co používám Knowunity, prostě nahraju svoje poznámky a najdu skvělé souhrny od ostatních – díky tomu je moje studium mnohem efektivnější!
Julia S
uživatelka Androidu
Byl jsem neustále ve stresu kvůli všem studijním materiálům, ale od té doby, co používám Knowunity, nahrávám svoje věci a koukám na super souhrny od ostatních – opravdu mi to pomáhá všechno lépe zvládat a je to mnohem méně stresující.
Marco B
uživatel iOS
TY KVÍZY A KARTIČKY SOU TAK UŽITEČNÝ A MILUJU Knowunity AI. JE TO TAKY DOSLOVA JAKO CHATGPT ALE CHYTŘEJŠÍ!! POMOHLO MI TO I S PROBLÉMY S ŘASENKOU!! A TAKY S MÝMA SKUTEČNÝMA PŘEDMĚTAMA! JASNÝ 😍😁😲🤑💗✨🎀😮
Sarah L
uživatelka Androidu
Dřív jsem trávil hodiny googlováním školních materiálů, ale teď prostě nahraju svoje věci na Knowunity a prohlížím si užitečné souhrny od ostatních – při přípravě na zkoušky se cítím mnohem jistější.
Paul T
uživatel iOS
Klára Řeháková
@klraehkov
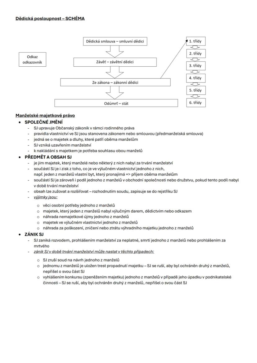
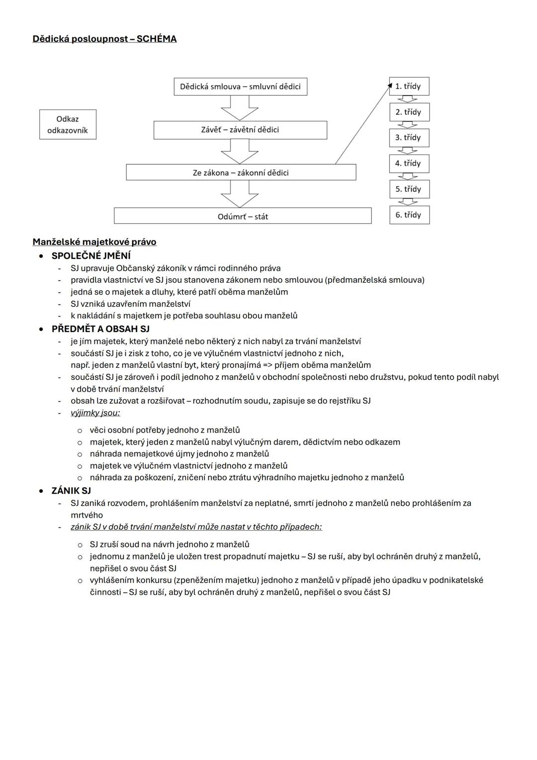
Dědění je způsob, jak se majetek po smrti člověka předává na jeho příbuzné nebo jiné osoby. Naše právo zná tři základní způsoby, jak můžeš rozhodnout o svém majetku - dědickou smlouvu, závěť nebo dědění podle zákona.

Přístup ke všem dokumentům
Zlepši své známky
Připoj se k milionům studentů
Dědění znamená přechod vlastnických práv z zůstavitele (zemřelého) na dědice (pozůstalého). Je to automatický proces, který nastane po smrti každého člověka.
Existují tři způsoby, jak se dědí. Dědická smlouva je dohoda uzavřená ještě za života zůstavitele formou notářského zápisu. Výhodou je, že ji nelze jednostranně zrušit, ale 1/4 majetku musí zůstat volná pro závěť.
Závěť je tvá poslední vůle napsaná buď rukou (holografní), na počítači (alografní), nebo formou notářského zápisu. Můžeš ji kdykoliv zrušit nebo změnit. Privilegovanou závěť můžeš pořídit i ústně v ohrožení života.
💡 Důležité: Závěť můžeš napsat už v 15 letech, ale musí být ve formě notářského zápisu.
Pokud nemáš dědickou smlouvu ani závěť, dědí se ze zákona podle 6 dědických tříd. V první třídě dědí manžel/ka a děti stejným dílem, v dalších třídách postupně vzdálenější příbuzní.

Přístup ke všem dokumentům
Zlepši své známky
Připoj se k milionům studentů
Neopominutelný dědic je potomek zůstavitele, který má právo na povinný díl bez ohledu na závěť. Zletilý dostane minimálně 1/4 zákonného podílu, nezletilý 3/4.
Potomka můžeš vydědit jen v přesně stanovených případech - neposkytl pomoc v nouzi, neprojevuje zájem o rodinu, byl odsouzen za trestný čin, vede nezřízený život nebo je marnotratný. Vydědění se píše formou závěti.
Dědic může dědictví odmítnout do 1 měsíce od dozvědění se o něm (ze zahraničí do 3 měsíců). Odmítnout musí celý podíl a už to nejde vzít zpět. Odmítnutý podíl připadne jeho potomkům.
⚠️ Pozor: Dluhy jsou součástí dědictví! Pokud se bojíš dluhů, můžeš požádat o výhradu soupisu majetku.
Odúmrť nastane, když nikdo nedědí - majetek přechází na stát, který za dluhy odpovídá jen do výše nabytého majetku.

Přístup ke všem dokumentům
Zlepši své známky
Připoj se k milionům studentů
Společné jmění (SJ) vzniká uzavřením manželství a zahrnuje majetek i dluhy obou manželů. K jakémukoliv nakládání s majetkem potřebuješ souhlas partnera.
Do SJ patří veškerý majetek nabytý za manželství, včetně zisku z výlučného vlastnictví jednoho manžela. Například pokud vlastníš byt a pronajímáš ho, příjem patří oběma.
Výjimky ze SJ jsou věci osobní potřeby, dary, dědictví nebo náhrady nemajetkové újmy určené konkrétně jednomu manželovi. Rozsah SJ můžete měnit rozhodnutím soudu.
💰 Prakticky: Předmanželskou smlouvou si můžete upravit pravidla vlastnictví podle svých představ.
SJ zaniká rozvodem, smrtí nebo prohlášením za mrtvého. Během manželství může zaniknout na návrh soudu, při trestu propadnutí majetku nebo vyhlášení konkursu jednoho z manželů.

Přístup ke všem dokumentům
Zlepši své známky
Připoj se k milionům studentů
Vypořádání SJ řeší vlastnické vztahy po zániku společného jmění. Probíhá buď dohodou, rozhodnutím soudu, nebo zákonnou domněnkou.
Základní zásady jsou stejné podíly pro oba manžele, zajištění potřeb nezletilých dětí a přihlédnutí k péči o rodinu. Každý si může nárokovat úhradu toho, co vynaložil na společný majetek.
Zákonná domněnka se uplatní, pokud se do 3 let nedohodnete. Nemovitosti přejdou do podílového spoluvlastnictví a movité věci získá ten, kdo je výhradně užívá.
🏠 Bydlení: Máte právo společného nájmu, které vzniká ze zákona nebo smlouvou. V případě domácího násilí může soud vyloučit jednoho manžela z užívání bytu.
Společný nájem znamená stejná práva i povinnosti pro oba manžely. Vznik můžete dohodou vyloučit. Při domácím násilí je možné požádat soud o dočasné vyloučení agresora na měsíc až rok.
Náš AI společník je speciálně vytvořen pro potřeby studentů. Na základě milionů obsahových materiálů, které máme na platformě, můžeme studentům poskytovat opravdu smysluplné a relevantní odpovědi. Ale nejde jen o odpovědi, společník je ještě více o provázení studentů jejich každodenními výzvami v učení, s personalizovanými studijními plány, kvízy nebo obsahovými materiály v chatu a 100% personalizací na základě dovedností a vývoje studentů.
Aplikaci si můžete stáhnout z obchodu Google Play a Apple App Store.
Ano, máte bezplatný přístup k obsahu v aplikaci a k našemu společníkovi s umělou inteligencí. Chcete-li odemknout určité funkce aplikace, můžete si zakoupit aplikaci Knowunity Pro.
8
Chytré Nástroje NOVÉ
Přeměň tyto poznámky na: ✓ 50+ Cvičných Otázek ✓ Interaktivní Kartičky ✓ Úplný zkušební test ✓ Osnovy Esejů
App Store
Google Play
Aplikace je velmi jednoduchá na používání a dobře navržená. Zatím jsem našel vše, co jsem hledal, a mohl jsem se z prezentací hodně naučit! Určitě použiju aplikaci na školní úkol! A samozřejmě taky hodně pomáhá jako inspirace.
Stefan S
uživatel iOS
Tahle aplikace je fakt skvělá. Je tam tolik studijních poznámek a pomůcek [...]. Můj problémový předmět je například francouzština a aplikace nabízí tolik možností pomoci. Díky této aplikaci jsem si zlepšil francouzštinu. Doporučil bych ji každému.
Samantha Klich
uživatelka Androidu
Páni, jsem opravdu ohromen. Zkusil jsem aplikaci jen proto, že jsem ji mnohokrát viděl v reklamách, a byl jsem naprosto ohromen. Tato aplikace je TA POMOC, kterou chceš do školy, a především nabízí spoustu věcí, jako jsou cvičení a přehledy faktů, které mi osobně VELMI pomohly.
Anna
uživatelka iOS
Dříve jsem měl problémy s dokončováním úkolů včas, dokud jsem neobjevil Knowunity, který nejen usnadňuje nahrávání mého vlastního obsahu, ale také poskytuje skvělé shrnutí, díky kterým je moje práce rychlejší a efektivnější.
Thomas R
uživatel iOS
Vždy bylo výzvou najít všechny důležité informace pro mé úkoly – od té doby, co používám Knowunity, můžu jednoduše nahrát svůj obsah a těžit ze shrnutí ostatních, což mi hodně pomáhá s organizací.
Lisa M
uživatelka Androidu
Často jsem měl pocit, že nemám dostatečný přehled při učení, ale od té doby, co používám Knowunity, to už neplatí – nahraju svůj obsah a vždy najdu užitečná shrnutí na platformě, což mi učení značně usnadňuje.
David K
uživatel iOS
Ta aplikace je prostě skvělá! Stačí zadat téma do vyhledávání a dostanu odpověď opravdu rychle. Nemusím koukat na 10 YouTube videí, abych něčemu porozuměl, takže šetřím čas. Vřele doporučuji!
Sudenaz Ocak
uživatel Androidu
Ve škole mi matematika vůbec nešla, ale díky této aplikaci se mi teď daří lépe. Jsem moc vděčný, že jste tuhle aplikaci vytvořili.
Greenlight Bonnie
uživatel Androidu
Dřív bylo opravdu těžké shromáždit všechny informace na moje prezentace. Ale od té doby, co používám Knowunity, prostě nahraju svoje poznámky a najdu skvělé souhrny od ostatních – díky tomu je moje studium mnohem efektivnější!
Julia S
uživatelka Androidu
Byl jsem neustále ve stresu kvůli všem studijním materiálům, ale od té doby, co používám Knowunity, nahrávám svoje věci a koukám na super souhrny od ostatních – opravdu mi to pomáhá všechno lépe zvládat a je to mnohem méně stresující.
Marco B
uživatel iOS
TY KVÍZY A KARTIČKY SOU TAK UŽITEČNÝ A MILUJU Knowunity AI. JE TO TAKY DOSLOVA JAKO CHATGPT ALE CHYTŘEJŠÍ!! POMOHLO MI TO I S PROBLÉMY S ŘASENKOU!! A TAKY S MÝMA SKUTEČNÝMA PŘEDMĚTAMA! JASNÝ 😍😁😲🤑💗✨🎀😮
Sarah L
uživatelka Androidu
Dřív jsem trávil hodiny googlováním školních materiálů, ale teď prostě nahraju svoje věci na Knowunity a prohlížím si užitečné souhrny od ostatních – při přípravě na zkoušky se cítím mnohem jistější.
Paul T
uživatel iOS
Aplikace je velmi jednoduchá na používání a dobře navržená. Zatím jsem našel vše, co jsem hledal, a mohl jsem se z prezentací hodně naučit! Určitě použiju aplikaci na školní úkol! A samozřejmě taky hodně pomáhá jako inspirace.
Stefan S
uživatel iOS
Tahle aplikace je fakt skvělá. Je tam tolik studijních poznámek a pomůcek [...]. Můj problémový předmět je například francouzština a aplikace nabízí tolik možností pomoci. Díky této aplikaci jsem si zlepšil francouzštinu. Doporučil bych ji každému.
Samantha Klich
uživatelka Androidu
Páni, jsem opravdu ohromen. Zkusil jsem aplikaci jen proto, že jsem ji mnohokrát viděl v reklamách, a byl jsem naprosto ohromen. Tato aplikace je TA POMOC, kterou chceš do školy, a především nabízí spoustu věcí, jako jsou cvičení a přehledy faktů, které mi osobně VELMI pomohly.
Anna
uživatelka iOS
Dříve jsem měl problémy s dokončováním úkolů včas, dokud jsem neobjevil Knowunity, který nejen usnadňuje nahrávání mého vlastního obsahu, ale také poskytuje skvělé shrnutí, díky kterým je moje práce rychlejší a efektivnější.
Thomas R
uživatel iOS
Vždy bylo výzvou najít všechny důležité informace pro mé úkoly – od té doby, co používám Knowunity, můžu jednoduše nahrát svůj obsah a těžit ze shrnutí ostatních, což mi hodně pomáhá s organizací.
Lisa M
uživatelka Androidu
Často jsem měl pocit, že nemám dostatečný přehled při učení, ale od té doby, co používám Knowunity, to už neplatí – nahraju svůj obsah a vždy najdu užitečná shrnutí na platformě, což mi učení značně usnadňuje.
David K
uživatel iOS
Ta aplikace je prostě skvělá! Stačí zadat téma do vyhledávání a dostanu odpověď opravdu rychle. Nemusím koukat na 10 YouTube videí, abych něčemu porozuměl, takže šetřím čas. Vřele doporučuji!
Sudenaz Ocak
uživatel Androidu
Ve škole mi matematika vůbec nešla, ale díky této aplikaci se mi teď daří lépe. Jsem moc vděčný, že jste tuhle aplikaci vytvořili.
Greenlight Bonnie
uživatel Androidu
Dřív bylo opravdu těžké shromáždit všechny informace na moje prezentace. Ale od té doby, co používám Knowunity, prostě nahraju svoje poznámky a najdu skvělé souhrny od ostatních – díky tomu je moje studium mnohem efektivnější!
Julia S
uživatelka Androidu
Byl jsem neustále ve stresu kvůli všem studijním materiálům, ale od té doby, co používám Knowunity, nahrávám svoje věci a koukám na super souhrny od ostatních – opravdu mi to pomáhá všechno lépe zvládat a je to mnohem méně stresující.
Marco B
uživatel iOS
TY KVÍZY A KARTIČKY SOU TAK UŽITEČNÝ A MILUJU Knowunity AI. JE TO TAKY DOSLOVA JAKO CHATGPT ALE CHYTŘEJŠÍ!! POMOHLO MI TO I S PROBLÉMY S ŘASENKOU!! A TAKY S MÝMA SKUTEČNÝMA PŘEDMĚTAMA! JASNÝ 😍😁😲🤑💗✨🎀😮
Sarah L
uživatelka Androidu
Dřív jsem trávil hodiny googlováním školních materiálů, ale teď prostě nahraju svoje věci na Knowunity a prohlížím si užitečné souhrny od ostatních – při přípravě na zkoušky se cítím mnohem jistější.
Paul T
uživatel iOS