Mnohočleny jsou algebraické výrazy složené z několika členů spojených znaménky... Zobrazit více
Registruj se, abys viděl obsahJe to zdarma!
Přístup ke všem dokumentům
Zlepši své známky
Připoj se k milionům studentů
Knowunity AI
Předměty
Triangle Congruence and Similarity Theorems
Triangle Properties and Classification
Linear Equations and Graphs
Geometric Angle Relationships
Trigonometric Functions and Identities
Equation Solving Techniques
Circle Geometry Fundamentals
Division Operations and Methods
Basic Differentiation Rules
Exponent and Logarithm Properties
Zobrazit všechna témata
Human Organ Systems
Reproductive Cell Cycles
Biological Sciences Subdisciplines
Cellular Energy Metabolism
Autotrophic Energy Processes
Inheritance Patterns and Principles
Biomolecular Structure and Organization
Cell Cycle and Division Mechanics
Cellular Organization and Development
Biological Structural Organization
Zobrazit všechna témata
Chemical Sciences and Applications
Atomic Structure and Composition
Molecular Electron Structure Representation
Atomic Electron Behavior
Matter Properties and Water
Mole Concept and Calculations
Gas Laws and Behavior
Periodic Table Organization
Chemical Thermodynamics Fundamentals
Chemical Bond Types and Properties
Zobrazit všechna témata
European Renaissance and Enlightenment
European Cultural Movements 800-1920
American Revolution Era 1763-1797
American Civil War 1861-1865
Global Imperial Systems
Mongol and Chinese Dynasties
U.S. Presidents and World Leaders
Historical Sources and Documentation
World Wars Era and Impact
World Religious Systems
Zobrazit všechna témata
Classic and Contemporary Novels
Literary Character Analysis
Rhetorical Theory and Practice
Classic Literary Narratives
Reading Analysis and Interpretation
Narrative Structure and Techniques
English Language Components
Influential English-Language Authors
Basic Sentence Structure
Narrative Voice and Perspective
Zobrazit všechna témata
814
•
Aktualizováno Apr 25, 2026
•
Eliška Farská
@eliskafarska28
Mnohočleny jsou algebraické výrazy složené z několika členů spojených znaménky... Zobrazit více












Možná ti algebra připadá složitá, ale mnohočleny jsou vlastně jen skládačka z čísel a písmen! Naučíš se s nimi pracovat stejně snadno, jako když počítáš s běžnými čísly.
Mnohočlen je výraz složený z více členů spojených znaménky + nebo -. Každý člen může obsahovat čísla, proměnné (písmena) a jejich mocniny.

Začneme od základů - jednočlen je jeden výraz obsahující číslo, proměnnou nebo jejich součin. Například: 3a, 2ab, 8x nebo zlomky jako 3/x.
Koeficient je číslo před proměnnou. U výrazu 3x je koeficient 3, u výrazu x je koeficient 1 (i když ho nevidíme).
Mocniny zapisujeme jako a², a³, a⁴. Například a² = a·a, a³ = a·a·a. Když máš výraz a·a·b·b·b·c, zapíšeš ho jako a²·b³·c.
💡 Tip: Koeficient 1 obvykle nepíšeme - místo 1x prostě píšeme x!

Podle počtu členů dělíme mnohočleny na několik typů. Jednočlen má jeden výraz (3x, 2, 42x³), dvojčlen má dva výrazy spojené znaménkem .
Trojčlen má tři členy , čtyřčlen čtyři členy a tak dále. Čím více členů, tím složitější výraz.
Absolutní člen je člen bez proměnné - jen číslo. Ve výrazu 3x⁵+6y²+52z+4x³+12y+6 je absolutním členem číslo 6.
💡 Zapamatuj si: Absolutní člen poznáš tak, že neobsahuje žádné písmenko!

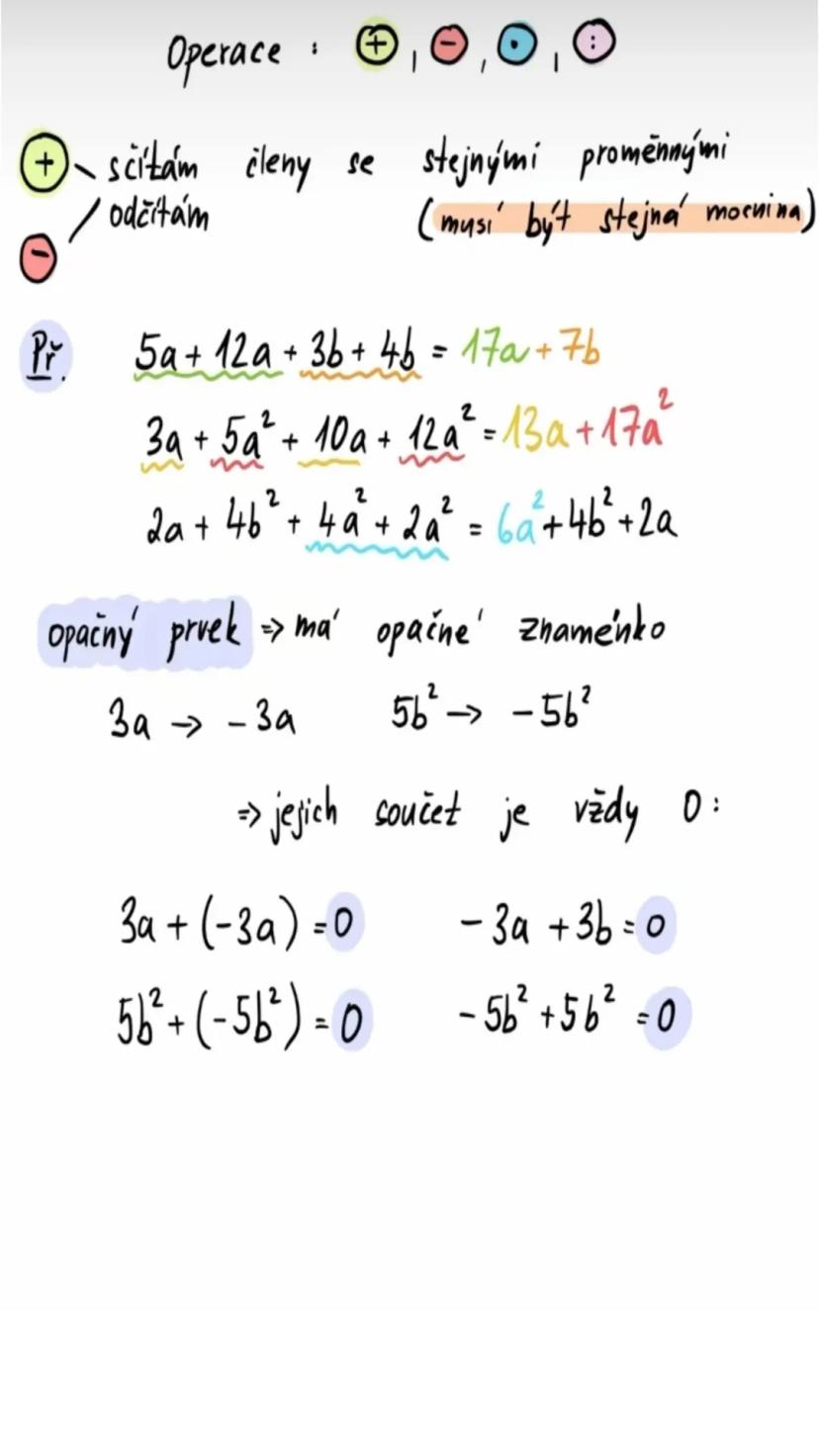
Tady je nejdůležitější pravidlo: sčítáš a odčítáš jen členy se stejnými proměnnými a stejnými mocninami! Je to jako s jablky a hruškami - nemůžeš sčítat jablka s hruškami.
Například: 5a + 12a + 3b + 4b = 17a + 7b. Sečetl jsi 5a + 12a = 17a a 3b + 4b = 7b.
Opačný prvek má opačné znaménko. Opačný prvek k 3a je -3a, jejich součet je vždy 0: 3a + = 0.
💡 Pozor: Můžeš sčítat jen 3a + 5a, ale ne 3a + 5a²!

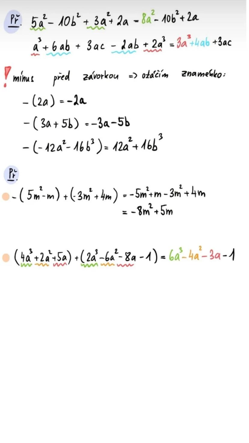
Když je před závorkou minus, otočíš všechna znaménka uvnitř závorky. -(2a) = -2a, - = -3a-5b, - = 12a²+16b³.
Praktický příklad: -+ = -5m²+m-3m²+4m = -8m²+5m.
Další příklad: + = 6a³-4a²-3a-1.
💡 Tip: Minus před závorkou je jako "kouzelná hůlka" - změní všechna znaménka uvnitř!

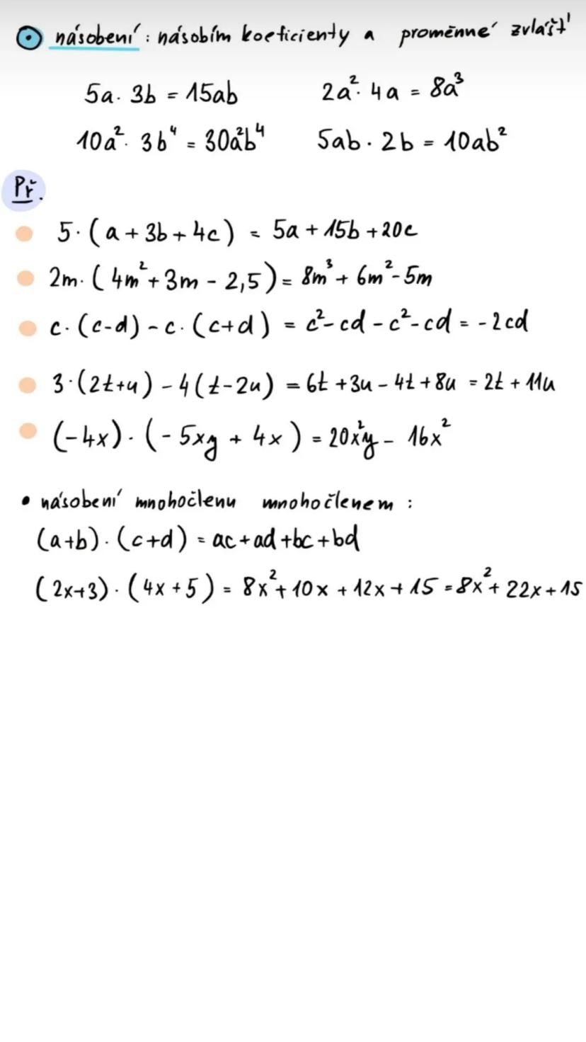
Při násobení násobíš koeficienty mezi sebou a proměnné zvlášť. 5a·3b = 15ab, 2a²·4a = 8a³.
Když násobíš jednočlen mnohočlenem, násobíš každý člen: 5· = 5a+15b+20c.
Násobení mnohočlenu mnohočlenem: každý člen prvního mnohočlenu násobíš každým členem druhého. · = ac+ad+bc+bd.
💡 Zapamatuj si: U mocnin se při násobení exponenty sčítají: a²·a³ = a⁵!

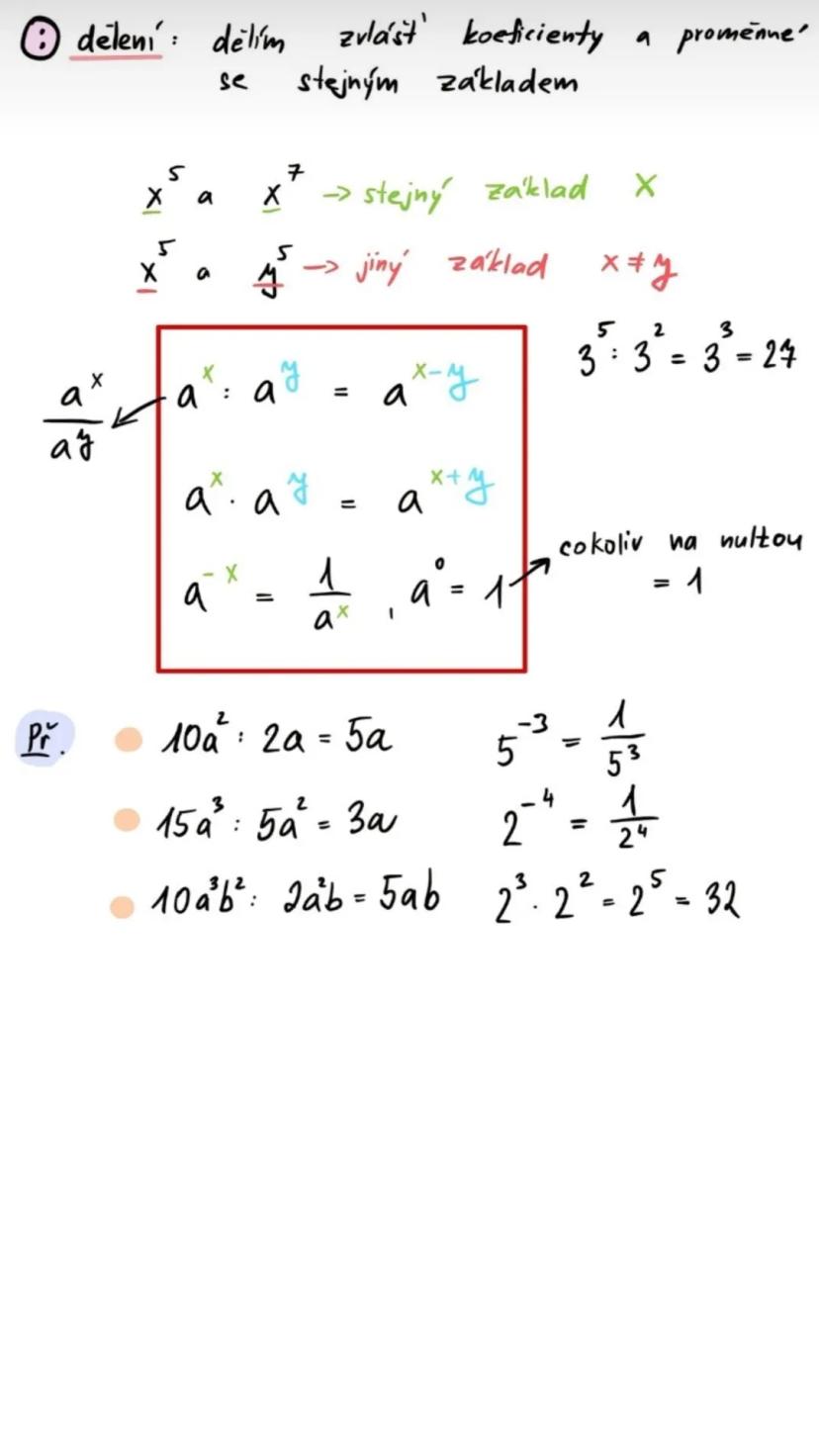
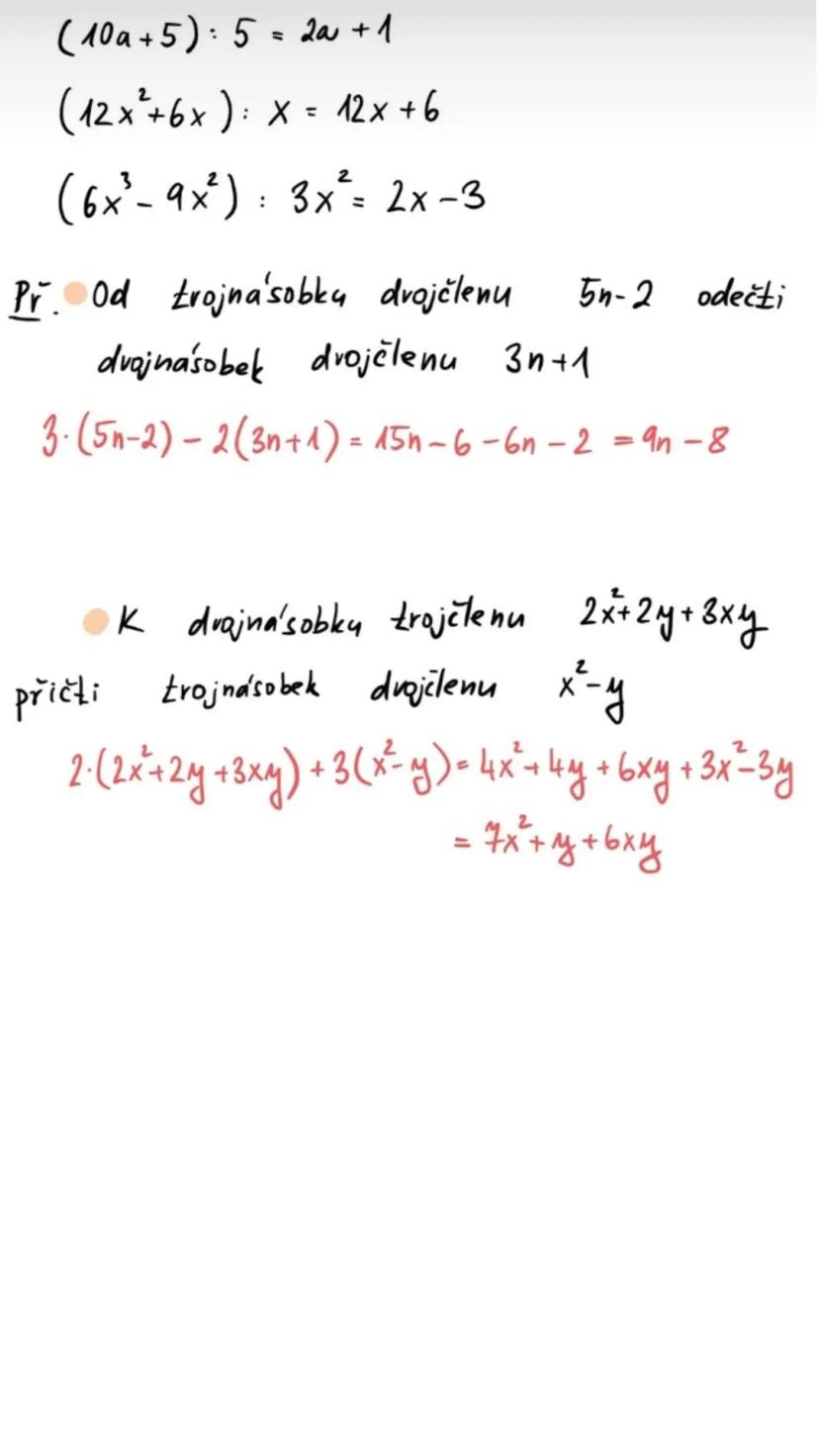
Dělení mnohočlenů funguje podobně jako násobení, jen obráceně. :5 = 2a+1, :x = 12x+6.
Ve slovních úlohách překládáš text do matematiky. "Od trojnásobku dvojčlenu 5n-2 odečti dvojnásobek dvojčlenu 3n+1" znamená: 3·-2 = 15n-6-6n-2 = 9n-8.
Při řešení postupuj krok za krokem - nejdřív odstraň závorky, pak sečti podobné členy.
💡 Tip: Ve slovních úlohách si podtrhávej klíčová slova jako "trojnásobek", "přičti", "odečti"!

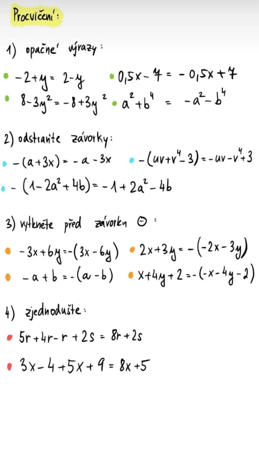
Opačné výrazy vzniknou změnou všech znamének: opak k -2+y je 2-y, opak k 8-3y² je -8+3y².
Při odstraňování závorek s minusem měníš znaménka: - = -a-3x, - = -1+2a²-4b.
Vytýkání před závorky: -3x+6y = -, -a+b = -. Je to opačný postup k odstraňování závorek.
💡 Kontrola: Po vytčení závorky si vždy zkontroluj, jestli ti vyjde původní výraz!

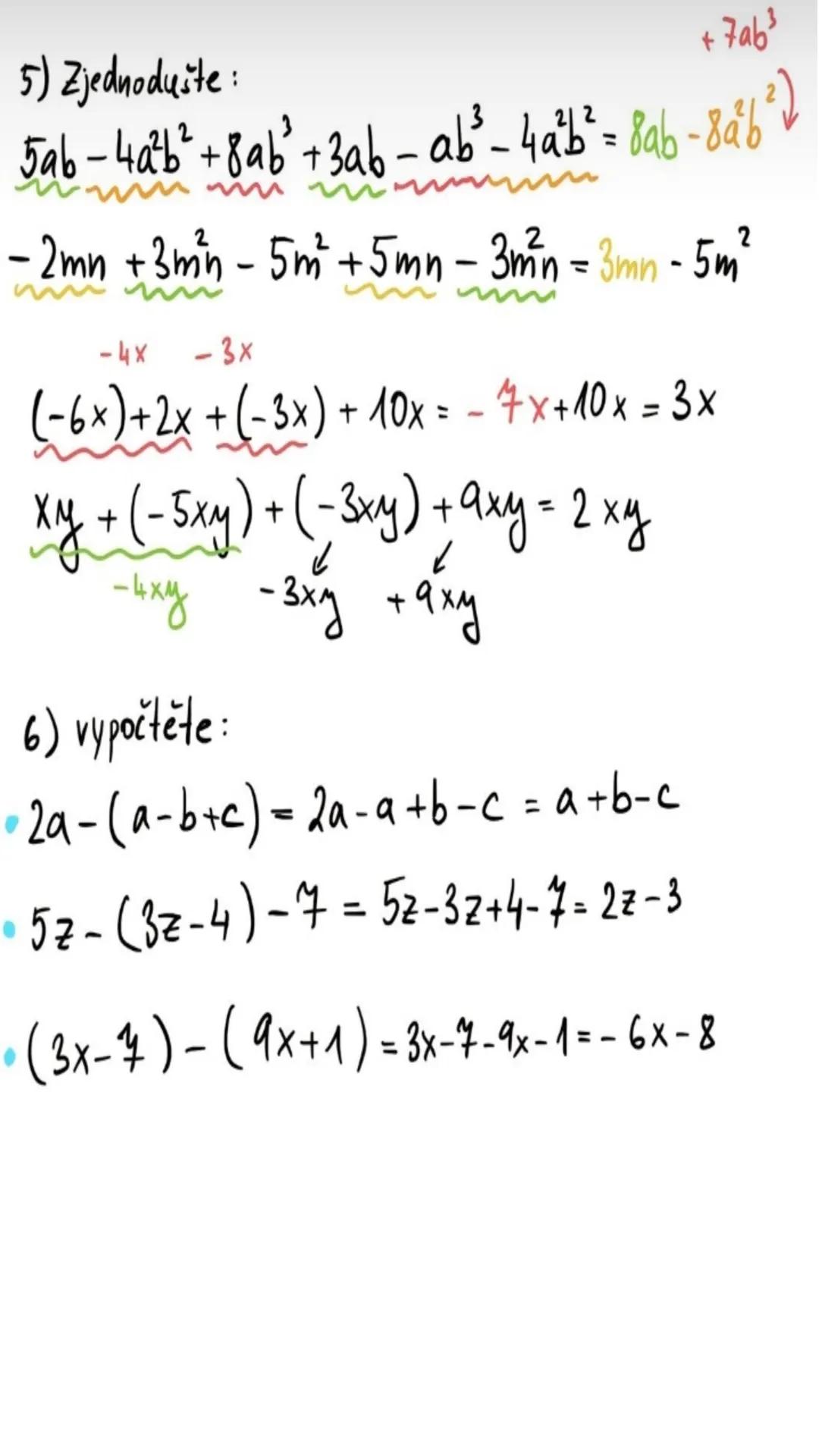
Při zjednodušování sčítej jen podobné členy: 5ab-4a²b²+8ab³+3ab-ab³-4a²b² = 8ab-8a²b².
U záporných čísel v závorkách dávej pozor na znaménka: +2x++10x = -6x+2x-3x+10x = 3x.
Odstraňování závorek ve složitějších příkladech: 2a- = 2a-a+b-c = a+b-c.
💡 Tip: Záporná čísla v závorkách si pro jistotu přepiš bez závorek se znaménkem minus!

Násobení mocnin se stejným základem: a³·a² = a⁵, 4x²·2x⁴ = 8x⁶. Exponenty se sčítají, koeficienty se násobí.
Pozor na rozdíl: sčítání mocnin 3x²+3x² = 6x² versus násobení mocnin 3x²·3x² = 9x⁴.
Dělení mocnin: a⁶:a² = a⁴, 12x³:2x = 6x². Exponenty se odčítají, koeficienty se dělí.
Násobení mnohočlenu jednočlenem: 3x²· = 6x²-9x⁴. Každý člen v závorce vynásobíš jednočlenem.
💡 Zlaté pravidlo: Při násobení mocnin exponenty sčítáš, při dělení odčítáš!

Náš AI společník je speciálně vytvořen pro potřeby studentů. Na základě milionů obsahových materiálů, které máme na platformě, můžeme studentům poskytovat opravdu smysluplné a relevantní odpovědi. Ale nejde jen o odpovědi, společník je ještě více o provázení studentů jejich každodenními výzvami v učení, s personalizovanými studijními plány, kvízy nebo obsahovými materiály v chatu a 100% personalizací na základě dovedností a vývoje studentů.
Aplikaci si můžete stáhnout z obchodu Google Play a Apple App Store.
Ano, máte bezplatný přístup k obsahu v aplikaci a k našemu společníkovi s umělou inteligencí. Chcete-li odemknout určité funkce aplikace, můžete si zakoupit aplikaci Knowunity Pro.
App Store
Google Play
Aplikace je velmi jednoduchá na používání a dobře navržená. Zatím jsem našel vše, co jsem hledal, a mohl jsem se z prezentací hodně naučit! Určitě použiju aplikaci na školní úkol! A samozřejmě taky hodně pomáhá jako inspirace.
Stefan S
uživatel iOS
Tahle aplikace je fakt skvělá. Je tam tolik studijních poznámek a pomůcek [...]. Můj problémový předmět je například francouzština a aplikace nabízí tolik možností pomoci. Díky této aplikaci jsem si zlepšil francouzštinu. Doporučil bych ji každému.
Samantha Klich
uživatelka Androidu
Páni, jsem opravdu ohromen. Zkusil jsem aplikaci jen proto, že jsem ji mnohokrát viděl v reklamách, a byl jsem naprosto ohromen. Tato aplikace je TA POMOC, kterou chceš do školy, a především nabízí spoustu věcí, jako jsou cvičení a přehledy faktů, které mi osobně VELMI pomohly.
Anna
uživatelka iOS
Dříve jsem měl problémy s dokončováním úkolů včas, dokud jsem neobjevil Knowunity, který nejen usnadňuje nahrávání mého vlastního obsahu, ale také poskytuje skvělé shrnutí, díky kterým je moje práce rychlejší a efektivnější.
Thomas R
uživatel iOS
Vždy bylo výzvou najít všechny důležité informace pro mé úkoly – od té doby, co používám Knowunity, můžu jednoduše nahrát svůj obsah a těžit ze shrnutí ostatních, což mi hodně pomáhá s organizací.
Lisa M
uživatelka Androidu
Často jsem měl pocit, že nemám dostatečný přehled při učení, ale od té doby, co používám Knowunity, to už neplatí – nahraju svůj obsah a vždy najdu užitečná shrnutí na platformě, což mi učení značně usnadňuje.
David K
uživatel iOS
Ta aplikace je prostě skvělá! Stačí zadat téma do vyhledávání a dostanu odpověď opravdu rychle. Nemusím koukat na 10 YouTube videí, abych něčemu porozuměl, takže šetřím čas. Vřele doporučuji!
Sudenaz Ocak
uživatel Androidu
Ve škole mi matematika vůbec nešla, ale díky této aplikaci se mi teď daří lépe. Jsem moc vděčný, že jste tuhle aplikaci vytvořili.
Greenlight Bonnie
uživatel Androidu
Dřív bylo opravdu těžké shromáždit všechny informace na moje prezentace. Ale od té doby, co používám Knowunity, prostě nahraju svoje poznámky a najdu skvělé souhrny od ostatních – díky tomu je moje studium mnohem efektivnější!
Julia S
uživatelka Androidu
Byl jsem neustále ve stresu kvůli všem studijním materiálům, ale od té doby, co používám Knowunity, nahrávám svoje věci a koukám na super souhrny od ostatních – opravdu mi to pomáhá všechno lépe zvládat a je to mnohem méně stresující.
Marco B
uživatel iOS
TY KVÍZY A KARTIČKY SOU TAK UŽITEČNÝ A MILUJU Knowunity AI. JE TO TAKY DOSLOVA JAKO CHATGPT ALE CHYTŘEJŠÍ!! POMOHLO MI TO I S PROBLÉMY S ŘASENKOU!! A TAKY S MÝMA SKUTEČNÝMA PŘEDMĚTAMA! JASNÝ 😍😁😲🤑💗✨🎀😮
Sarah L
uživatelka Androidu
Dřív jsem trávil hodiny googlováním školních materiálů, ale teď prostě nahraju svoje věci na Knowunity a prohlížím si užitečné souhrny od ostatních – při přípravě na zkoušky se cítím mnohem jistější.
Paul T
uživatel iOS
Aplikace je velmi jednoduchá na používání a dobře navržená. Zatím jsem našel vše, co jsem hledal, a mohl jsem se z prezentací hodně naučit! Určitě použiju aplikaci na školní úkol! A samozřejmě taky hodně pomáhá jako inspirace.
Stefan S
uživatel iOS
Tahle aplikace je fakt skvělá. Je tam tolik studijních poznámek a pomůcek [...]. Můj problémový předmět je například francouzština a aplikace nabízí tolik možností pomoci. Díky této aplikaci jsem si zlepšil francouzštinu. Doporučil bych ji každému.
Samantha Klich
uživatelka Androidu
Páni, jsem opravdu ohromen. Zkusil jsem aplikaci jen proto, že jsem ji mnohokrát viděl v reklamách, a byl jsem naprosto ohromen. Tato aplikace je TA POMOC, kterou chceš do školy, a především nabízí spoustu věcí, jako jsou cvičení a přehledy faktů, které mi osobně VELMI pomohly.
Anna
uživatelka iOS
Dříve jsem měl problémy s dokončováním úkolů včas, dokud jsem neobjevil Knowunity, který nejen usnadňuje nahrávání mého vlastního obsahu, ale také poskytuje skvělé shrnutí, díky kterým je moje práce rychlejší a efektivnější.
Thomas R
uživatel iOS
Vždy bylo výzvou najít všechny důležité informace pro mé úkoly – od té doby, co používám Knowunity, můžu jednoduše nahrát svůj obsah a těžit ze shrnutí ostatních, což mi hodně pomáhá s organizací.
Lisa M
uživatelka Androidu
Často jsem měl pocit, že nemám dostatečný přehled při učení, ale od té doby, co používám Knowunity, to už neplatí – nahraju svůj obsah a vždy najdu užitečná shrnutí na platformě, což mi učení značně usnadňuje.
David K
uživatel iOS
Ta aplikace je prostě skvělá! Stačí zadat téma do vyhledávání a dostanu odpověď opravdu rychle. Nemusím koukat na 10 YouTube videí, abych něčemu porozuměl, takže šetřím čas. Vřele doporučuji!
Sudenaz Ocak
uživatel Androidu
Ve škole mi matematika vůbec nešla, ale díky této aplikaci se mi teď daří lépe. Jsem moc vděčný, že jste tuhle aplikaci vytvořili.
Greenlight Bonnie
uživatel Androidu
Dřív bylo opravdu těžké shromáždit všechny informace na moje prezentace. Ale od té doby, co používám Knowunity, prostě nahraju svoje poznámky a najdu skvělé souhrny od ostatních – díky tomu je moje studium mnohem efektivnější!
Julia S
uživatelka Androidu
Byl jsem neustále ve stresu kvůli všem studijním materiálům, ale od té doby, co používám Knowunity, nahrávám svoje věci a koukám na super souhrny od ostatních – opravdu mi to pomáhá všechno lépe zvládat a je to mnohem méně stresující.
Marco B
uživatel iOS
TY KVÍZY A KARTIČKY SOU TAK UŽITEČNÝ A MILUJU Knowunity AI. JE TO TAKY DOSLOVA JAKO CHATGPT ALE CHYTŘEJŠÍ!! POMOHLO MI TO I S PROBLÉMY S ŘASENKOU!! A TAKY S MÝMA SKUTEČNÝMA PŘEDMĚTAMA! JASNÝ 😍😁😲🤑💗✨🎀😮
Sarah L
uživatelka Androidu
Dřív jsem trávil hodiny googlováním školních materiálů, ale teď prostě nahraju svoje věci na Knowunity a prohlížím si užitečné souhrny od ostatních – při přípravě na zkoušky se cítím mnohem jistější.
Paul T
uživatel iOS
Eliška Farská
@eliskafarska28
Mnohočleny jsou algebraické výrazy složené z několika členů spojených znaménky plus nebo minus. Patří sem jednočleny (jeden člen), dvojčleny (dva členy), trojčleny (tři členy) a tak dále.

Přístup ke všem dokumentům
Zlepši své známky
Připoj se k milionům studentů
Možná ti algebra připadá složitá, ale mnohočleny jsou vlastně jen skládačka z čísel a písmen! Naučíš se s nimi pracovat stejně snadno, jako když počítáš s běžnými čísly.
Mnohočlen je výraz složený z více členů spojených znaménky + nebo -. Každý člen může obsahovat čísla, proměnné (písmena) a jejich mocniny.

Přístup ke všem dokumentům
Zlepši své známky
Připoj se k milionům studentů
Začneme od základů - jednočlen je jeden výraz obsahující číslo, proměnnou nebo jejich součin. Například: 3a, 2ab, 8x nebo zlomky jako 3/x.
Koeficient je číslo před proměnnou. U výrazu 3x je koeficient 3, u výrazu x je koeficient 1 (i když ho nevidíme).
Mocniny zapisujeme jako a², a³, a⁴. Například a² = a·a, a³ = a·a·a. Když máš výraz a·a·b·b·b·c, zapíšeš ho jako a²·b³·c.
💡 Tip: Koeficient 1 obvykle nepíšeme - místo 1x prostě píšeme x!

Přístup ke všem dokumentům
Zlepši své známky
Připoj se k milionům studentů
Podle počtu členů dělíme mnohočleny na několik typů. Jednočlen má jeden výraz (3x, 2, 42x³), dvojčlen má dva výrazy spojené znaménkem .
Trojčlen má tři členy , čtyřčlen čtyři členy a tak dále. Čím více členů, tím složitější výraz.
Absolutní člen je člen bez proměnné - jen číslo. Ve výrazu 3x⁵+6y²+52z+4x³+12y+6 je absolutním členem číslo 6.
💡 Zapamatuj si: Absolutní člen poznáš tak, že neobsahuje žádné písmenko!

Přístup ke všem dokumentům
Zlepši své známky
Připoj se k milionům studentů
Tady je nejdůležitější pravidlo: sčítáš a odčítáš jen členy se stejnými proměnnými a stejnými mocninami! Je to jako s jablky a hruškami - nemůžeš sčítat jablka s hruškami.
Například: 5a + 12a + 3b + 4b = 17a + 7b. Sečetl jsi 5a + 12a = 17a a 3b + 4b = 7b.
Opačný prvek má opačné znaménko. Opačný prvek k 3a je -3a, jejich součet je vždy 0: 3a + = 0.
💡 Pozor: Můžeš sčítat jen 3a + 5a, ale ne 3a + 5a²!

Přístup ke všem dokumentům
Zlepši své známky
Připoj se k milionům studentů
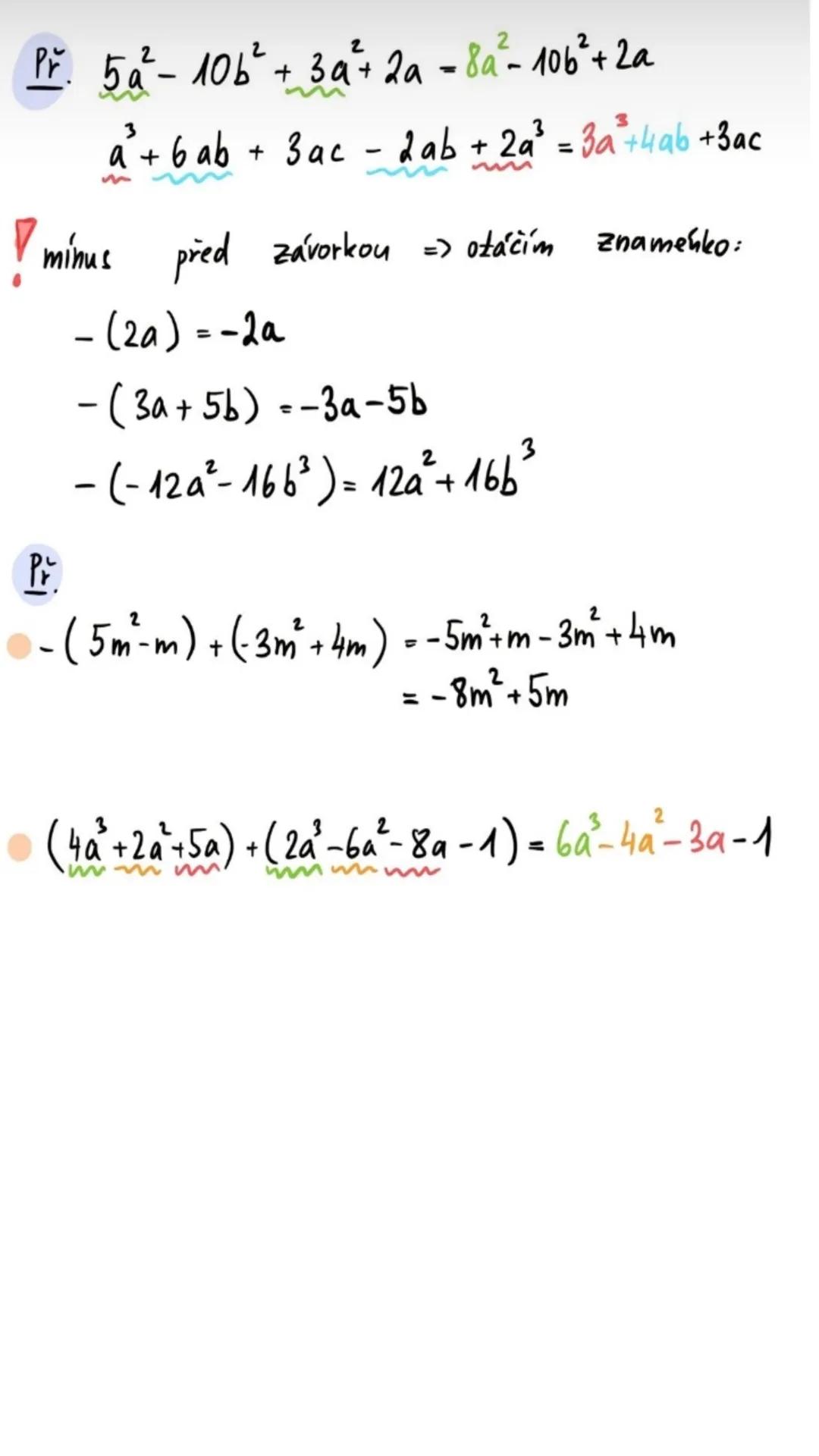
Když je před závorkou minus, otočíš všechna znaménka uvnitř závorky. -(2a) = -2a, - = -3a-5b, - = 12a²+16b³.
Praktický příklad: -+ = -5m²+m-3m²+4m = -8m²+5m.
Další příklad: + = 6a³-4a²-3a-1.
💡 Tip: Minus před závorkou je jako "kouzelná hůlka" - změní všechna znaménka uvnitř!

Přístup ke všem dokumentům
Zlepši své známky
Připoj se k milionům studentů
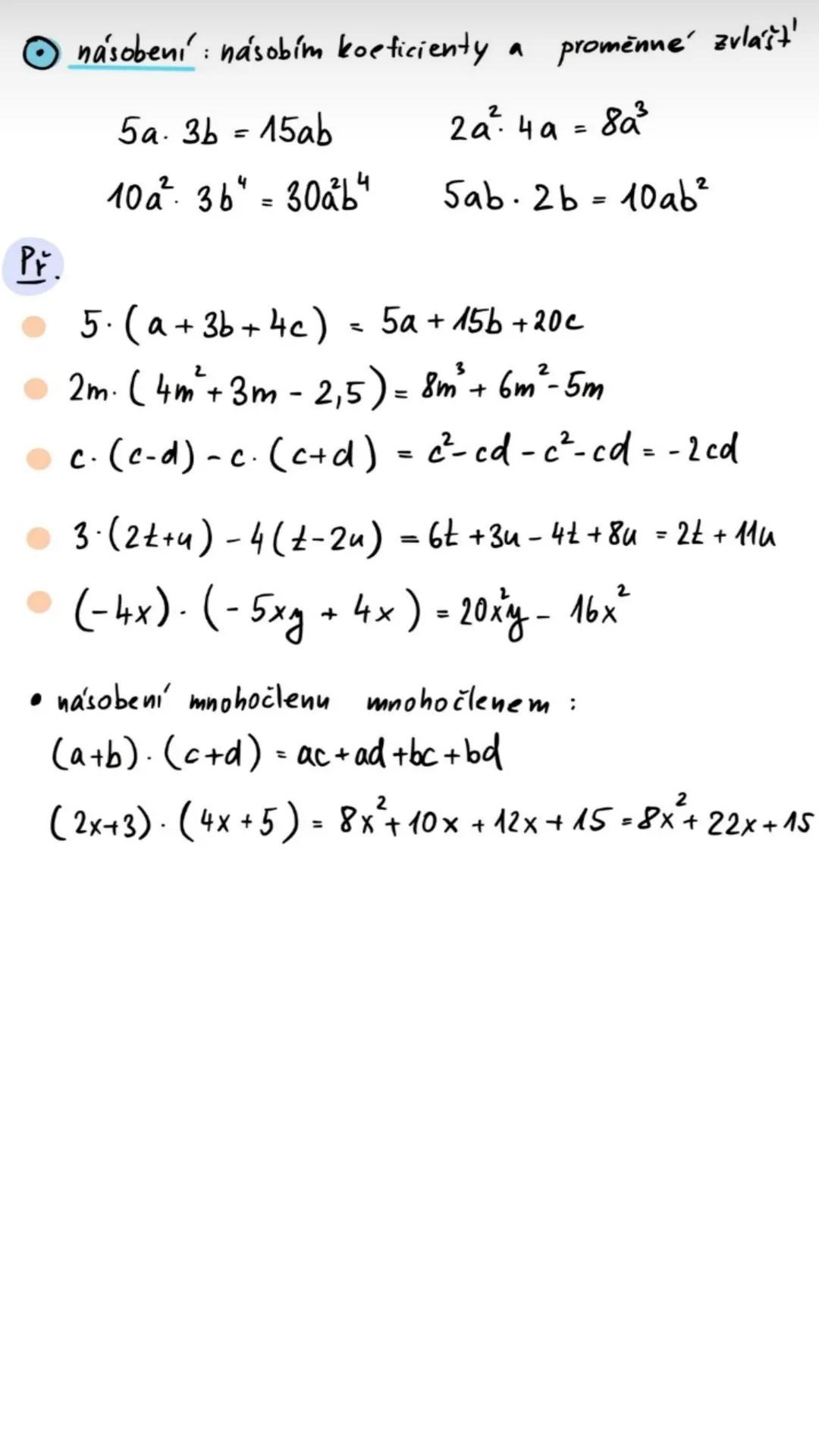
Při násobení násobíš koeficienty mezi sebou a proměnné zvlášť. 5a·3b = 15ab, 2a²·4a = 8a³.
Když násobíš jednočlen mnohočlenem, násobíš každý člen: 5· = 5a+15b+20c.
Násobení mnohočlenu mnohočlenem: každý člen prvního mnohočlenu násobíš každým členem druhého. · = ac+ad+bc+bd.
💡 Zapamatuj si: U mocnin se při násobení exponenty sčítají: a²·a³ = a⁵!

Přístup ke všem dokumentům
Zlepši své známky
Připoj se k milionům studentů
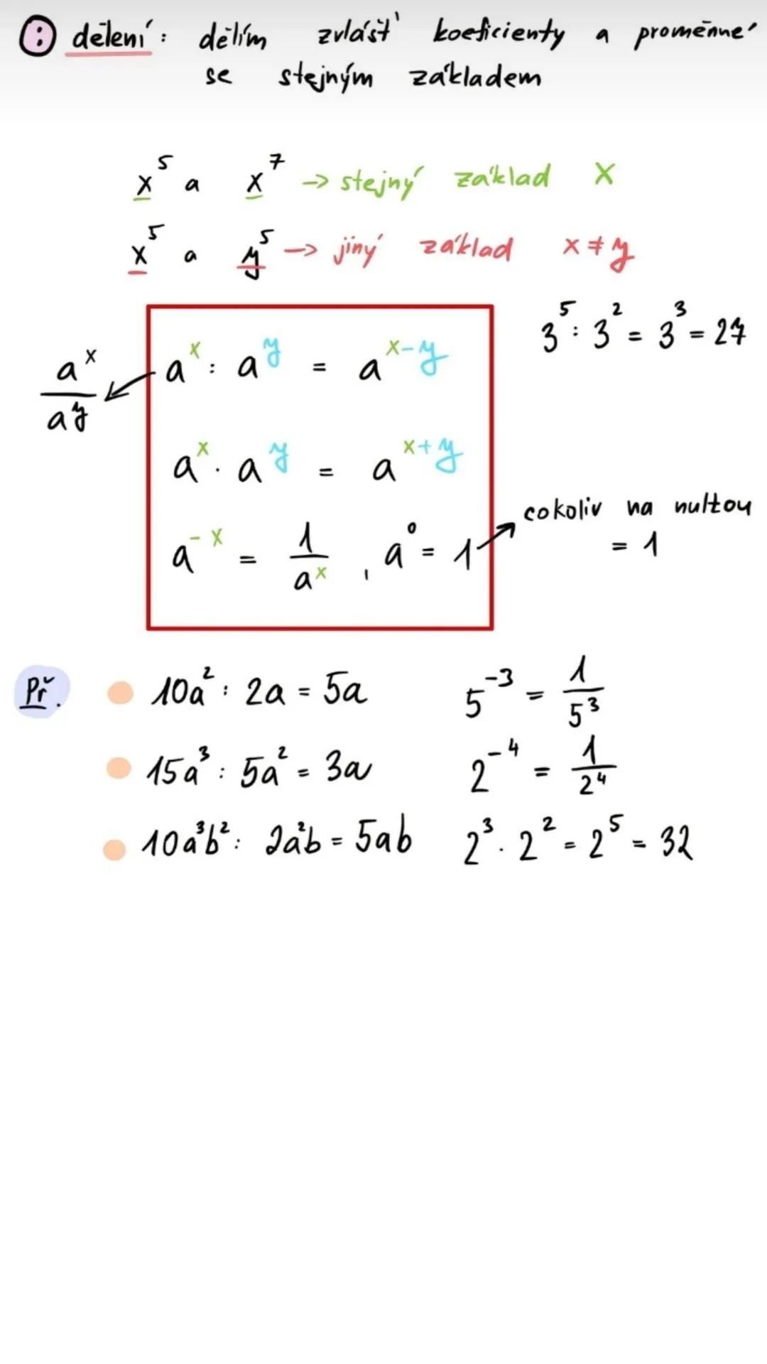
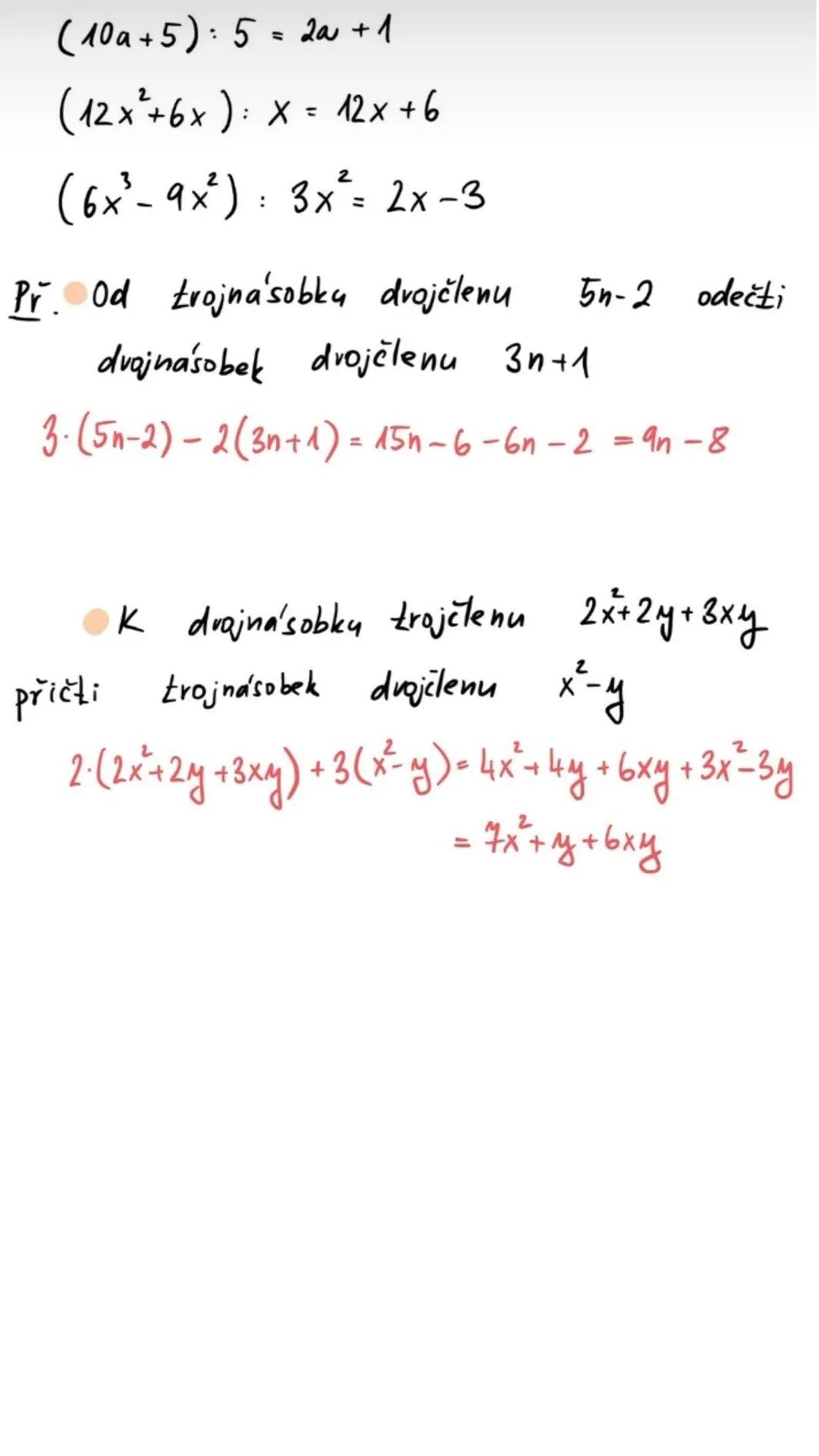
Dělení mnohočlenů funguje podobně jako násobení, jen obráceně. :5 = 2a+1, :x = 12x+6.
Ve slovních úlohách překládáš text do matematiky. "Od trojnásobku dvojčlenu 5n-2 odečti dvojnásobek dvojčlenu 3n+1" znamená: 3·-2 = 15n-6-6n-2 = 9n-8.
Při řešení postupuj krok za krokem - nejdřív odstraň závorky, pak sečti podobné členy.
💡 Tip: Ve slovních úlohách si podtrhávej klíčová slova jako "trojnásobek", "přičti", "odečti"!

Přístup ke všem dokumentům
Zlepši své známky
Připoj se k milionům studentů
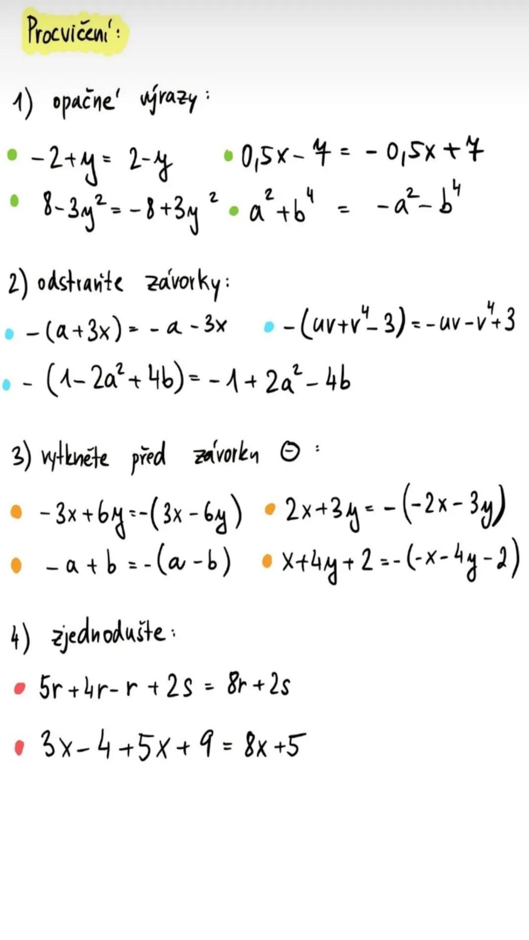
Opačné výrazy vzniknou změnou všech znamének: opak k -2+y je 2-y, opak k 8-3y² je -8+3y².
Při odstraňování závorek s minusem měníš znaménka: - = -a-3x, - = -1+2a²-4b.
Vytýkání před závorky: -3x+6y = -, -a+b = -. Je to opačný postup k odstraňování závorek.
💡 Kontrola: Po vytčení závorky si vždy zkontroluj, jestli ti vyjde původní výraz!

Přístup ke všem dokumentům
Zlepši své známky
Připoj se k milionům studentů
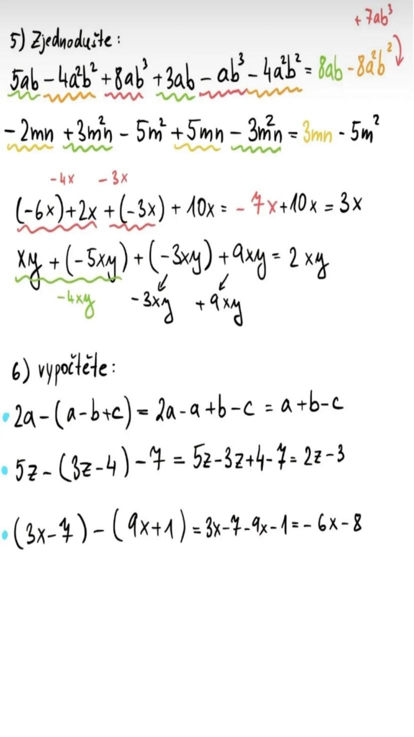
Při zjednodušování sčítej jen podobné členy: 5ab-4a²b²+8ab³+3ab-ab³-4a²b² = 8ab-8a²b².
U záporných čísel v závorkách dávej pozor na znaménka: +2x++10x = -6x+2x-3x+10x = 3x.
Odstraňování závorek ve složitějších příkladech: 2a- = 2a-a+b-c = a+b-c.
💡 Tip: Záporná čísla v závorkách si pro jistotu přepiš bez závorek se znaménkem minus!

Přístup ke všem dokumentům
Zlepši své známky
Připoj se k milionům studentů
Násobení mocnin se stejným základem: a³·a² = a⁵, 4x²·2x⁴ = 8x⁶. Exponenty se sčítají, koeficienty se násobí.
Pozor na rozdíl: sčítání mocnin 3x²+3x² = 6x² versus násobení mocnin 3x²·3x² = 9x⁴.
Dělení mocnin: a⁶:a² = a⁴, 12x³:2x = 6x². Exponenty se odčítají, koeficienty se dělí.
Násobení mnohočlenu jednočlenem: 3x²· = 6x²-9x⁴. Každý člen v závorce vynásobíš jednočlenem.
💡 Zlaté pravidlo: Při násobení mocnin exponenty sčítáš, při dělení odčítáš!

Přístup ke všem dokumentům
Zlepši své známky
Připoj se k milionům studentů
Náš AI společník je speciálně vytvořen pro potřeby studentů. Na základě milionů obsahových materiálů, které máme na platformě, můžeme studentům poskytovat opravdu smysluplné a relevantní odpovědi. Ale nejde jen o odpovědi, společník je ještě více o provázení studentů jejich každodenními výzvami v učení, s personalizovanými studijními plány, kvízy nebo obsahovými materiály v chatu a 100% personalizací na základě dovedností a vývoje studentů.
Aplikaci si můžete stáhnout z obchodu Google Play a Apple App Store.
Ano, máte bezplatný přístup k obsahu v aplikaci a k našemu společníkovi s umělou inteligencí. Chcete-li odemknout určité funkce aplikace, můžete si zakoupit aplikaci Knowunity Pro.
12
Chytré Nástroje NOVÉ
Přeměň tyto poznámky na: ✓ 50+ Cvičných Otázek ✓ Interaktivní Kartičky ✓ Úplný zkušební test ✓ Osnovy Esejů
App Store
Google Play
Aplikace je velmi jednoduchá na používání a dobře navržená. Zatím jsem našel vše, co jsem hledal, a mohl jsem se z prezentací hodně naučit! Určitě použiju aplikaci na školní úkol! A samozřejmě taky hodně pomáhá jako inspirace.
Stefan S
uživatel iOS
Tahle aplikace je fakt skvělá. Je tam tolik studijních poznámek a pomůcek [...]. Můj problémový předmět je například francouzština a aplikace nabízí tolik možností pomoci. Díky této aplikaci jsem si zlepšil francouzštinu. Doporučil bych ji každému.
Samantha Klich
uživatelka Androidu
Páni, jsem opravdu ohromen. Zkusil jsem aplikaci jen proto, že jsem ji mnohokrát viděl v reklamách, a byl jsem naprosto ohromen. Tato aplikace je TA POMOC, kterou chceš do školy, a především nabízí spoustu věcí, jako jsou cvičení a přehledy faktů, které mi osobně VELMI pomohly.
Anna
uživatelka iOS
Dříve jsem měl problémy s dokončováním úkolů včas, dokud jsem neobjevil Knowunity, který nejen usnadňuje nahrávání mého vlastního obsahu, ale také poskytuje skvělé shrnutí, díky kterým je moje práce rychlejší a efektivnější.
Thomas R
uživatel iOS
Vždy bylo výzvou najít všechny důležité informace pro mé úkoly – od té doby, co používám Knowunity, můžu jednoduše nahrát svůj obsah a těžit ze shrnutí ostatních, což mi hodně pomáhá s organizací.
Lisa M
uživatelka Androidu
Často jsem měl pocit, že nemám dostatečný přehled při učení, ale od té doby, co používám Knowunity, to už neplatí – nahraju svůj obsah a vždy najdu užitečná shrnutí na platformě, což mi učení značně usnadňuje.
David K
uživatel iOS
Ta aplikace je prostě skvělá! Stačí zadat téma do vyhledávání a dostanu odpověď opravdu rychle. Nemusím koukat na 10 YouTube videí, abych něčemu porozuměl, takže šetřím čas. Vřele doporučuji!
Sudenaz Ocak
uživatel Androidu
Ve škole mi matematika vůbec nešla, ale díky této aplikaci se mi teď daří lépe. Jsem moc vděčný, že jste tuhle aplikaci vytvořili.
Greenlight Bonnie
uživatel Androidu
Dřív bylo opravdu těžké shromáždit všechny informace na moje prezentace. Ale od té doby, co používám Knowunity, prostě nahraju svoje poznámky a najdu skvělé souhrny od ostatních – díky tomu je moje studium mnohem efektivnější!
Julia S
uživatelka Androidu
Byl jsem neustále ve stresu kvůli všem studijním materiálům, ale od té doby, co používám Knowunity, nahrávám svoje věci a koukám na super souhrny od ostatních – opravdu mi to pomáhá všechno lépe zvládat a je to mnohem méně stresující.
Marco B
uživatel iOS
TY KVÍZY A KARTIČKY SOU TAK UŽITEČNÝ A MILUJU Knowunity AI. JE TO TAKY DOSLOVA JAKO CHATGPT ALE CHYTŘEJŠÍ!! POMOHLO MI TO I S PROBLÉMY S ŘASENKOU!! A TAKY S MÝMA SKUTEČNÝMA PŘEDMĚTAMA! JASNÝ 😍😁😲🤑💗✨🎀😮
Sarah L
uživatelka Androidu
Dřív jsem trávil hodiny googlováním školních materiálů, ale teď prostě nahraju svoje věci na Knowunity a prohlížím si užitečné souhrny od ostatních – při přípravě na zkoušky se cítím mnohem jistější.
Paul T
uživatel iOS
Aplikace je velmi jednoduchá na používání a dobře navržená. Zatím jsem našel vše, co jsem hledal, a mohl jsem se z prezentací hodně naučit! Určitě použiju aplikaci na školní úkol! A samozřejmě taky hodně pomáhá jako inspirace.
Stefan S
uživatel iOS
Tahle aplikace je fakt skvělá. Je tam tolik studijních poznámek a pomůcek [...]. Můj problémový předmět je například francouzština a aplikace nabízí tolik možností pomoci. Díky této aplikaci jsem si zlepšil francouzštinu. Doporučil bych ji každému.
Samantha Klich
uživatelka Androidu
Páni, jsem opravdu ohromen. Zkusil jsem aplikaci jen proto, že jsem ji mnohokrát viděl v reklamách, a byl jsem naprosto ohromen. Tato aplikace je TA POMOC, kterou chceš do školy, a především nabízí spoustu věcí, jako jsou cvičení a přehledy faktů, které mi osobně VELMI pomohly.
Anna
uživatelka iOS
Dříve jsem měl problémy s dokončováním úkolů včas, dokud jsem neobjevil Knowunity, který nejen usnadňuje nahrávání mého vlastního obsahu, ale také poskytuje skvělé shrnutí, díky kterým je moje práce rychlejší a efektivnější.
Thomas R
uživatel iOS
Vždy bylo výzvou najít všechny důležité informace pro mé úkoly – od té doby, co používám Knowunity, můžu jednoduše nahrát svůj obsah a těžit ze shrnutí ostatních, což mi hodně pomáhá s organizací.
Lisa M
uživatelka Androidu
Často jsem měl pocit, že nemám dostatečný přehled při učení, ale od té doby, co používám Knowunity, to už neplatí – nahraju svůj obsah a vždy najdu užitečná shrnutí na platformě, což mi učení značně usnadňuje.
David K
uživatel iOS
Ta aplikace je prostě skvělá! Stačí zadat téma do vyhledávání a dostanu odpověď opravdu rychle. Nemusím koukat na 10 YouTube videí, abych něčemu porozuměl, takže šetřím čas. Vřele doporučuji!
Sudenaz Ocak
uživatel Androidu
Ve škole mi matematika vůbec nešla, ale díky této aplikaci se mi teď daří lépe. Jsem moc vděčný, že jste tuhle aplikaci vytvořili.
Greenlight Bonnie
uživatel Androidu
Dřív bylo opravdu těžké shromáždit všechny informace na moje prezentace. Ale od té doby, co používám Knowunity, prostě nahraju svoje poznámky a najdu skvělé souhrny od ostatních – díky tomu je moje studium mnohem efektivnější!
Julia S
uživatelka Androidu
Byl jsem neustále ve stresu kvůli všem studijním materiálům, ale od té doby, co používám Knowunity, nahrávám svoje věci a koukám na super souhrny od ostatních – opravdu mi to pomáhá všechno lépe zvládat a je to mnohem méně stresující.
Marco B
uživatel iOS
TY KVÍZY A KARTIČKY SOU TAK UŽITEČNÝ A MILUJU Knowunity AI. JE TO TAKY DOSLOVA JAKO CHATGPT ALE CHYTŘEJŠÍ!! POMOHLO MI TO I S PROBLÉMY S ŘASENKOU!! A TAKY S MÝMA SKUTEČNÝMA PŘEDMĚTAMA! JASNÝ 😍😁😲🤑💗✨🎀😮
Sarah L
uživatelka Androidu
Dřív jsem trávil hodiny googlováním školních materiálů, ale teď prostě nahraju svoje věci na Knowunity a prohlížím si užitečné souhrny od ostatních – při přípravě na zkoušky se cítím mnohem jistější.
Paul T
uživatel iOS