Mechanika se skládá ze statiky a dynamiky. Zatímco statika... Zobrazit více
Registruj se, abys viděl obsahJe to zdarma!
Přístup ke všem dokumentům
Zlepši své známky
Připoj se k milionům studentů
Knowunity AI
Předměty
Triangle Congruence and Similarity Theorems
Triangle Properties and Classification
Linear Equations and Graphs
Geometric Angle Relationships
Trigonometric Functions and Identities
Equation Solving Techniques
Circle Geometry Fundamentals
Division Operations and Methods
Basic Differentiation Rules
Exponent and Logarithm Properties
Zobrazit všechna témata
Human Organ Systems
Reproductive Cell Cycles
Biological Sciences Subdisciplines
Cellular Energy Metabolism
Autotrophic Energy Processes
Inheritance Patterns and Principles
Biomolecular Structure and Organization
Cell Cycle and Division Mechanics
Cellular Organization and Development
Biological Structural Organization
Zobrazit všechna témata
Chemical Sciences and Applications
Atomic Structure and Composition
Molecular Electron Structure Representation
Atomic Electron Behavior
Matter Properties and Water
Mole Concept and Calculations
Gas Laws and Behavior
Periodic Table Organization
Chemical Thermodynamics Fundamentals
Chemical Bond Types and Properties
Zobrazit všechna témata
European Renaissance and Enlightenment
European Cultural Movements 800-1920
American Revolution Era 1763-1797
American Civil War 1861-1865
Global Imperial Systems
Mongol and Chinese Dynasties
U.S. Presidents and World Leaders
Historical Sources and Documentation
World Wars Era and Impact
World Religious Systems
Zobrazit všechna témata
Classic and Contemporary Novels
Literary Character Analysis
Rhetorical Theory and Practice
Classic Literary Narratives
Reading Analysis and Interpretation
Narrative Structure and Techniques
English Language Components
Influential English-Language Authors
Basic Sentence Structure
Narrative Voice and Perspective
Zobrazit všechna témata
439
•
Aktualizováno Apr 22, 2026
•
Vanesa Pospíšilová
@vanesapospilov
Mechanika se skládá ze statiky a dynamiky. Zatímco statika... Zobrazit více










Dynamika je ta část fyziky, která ti vysvětlí, proč se fotbalový míč rozletí, když do něj kopneš. Síla (F) je základní veličina, která charakterizuje vzájemné silové působení těles - prostě řečeno, je to "tlačení" nebo "tahání" mezi objekty.
Síla má dva hlavní účinky: pohybové (uvedení do pohybu, zrychlení, zpomalení) a deformační (trvalé jako zlomená kost, nebo dočasné jako facka). Jednotka síly je newton (N), kde 1 N = 1 kg⋅m/s².
Existují dva typy vztažných soustav: inerciální (v klidu nebo rovnoměrném přímočarém pohybu) a neinerciální (zrychlený pohyb). V inerciálních soustavách platí všechny tři Newtonové zákony.
💡 Tip: Izolované těleso je takové, na které nepůsobí vnější síly - výslednice všech sil je nulová.

Představ si, že jedeš autem a řidič náhle zabrzdí. Tvoje tělo se "snaží" pokračovat v pohybu dopředu - to je setrvačnost v akci! První Newtonův zákon říká: každé těleso setrvává v klidu nebo rovnoměrném přímočarém pohybu, dokud není donuceno vnějšími silami svůj pohybový stav změnit.
Když stojíš, tíhová síla tě táhne dolů, ale normálová síla od podložky tě tlačí nahoru - tyto síly se vyruší . Když jdeš konstantní rychlostí, síla tvých nohou se rovná odporu vzduchu a tření.
Setrvačnost je schopnost tělesa zůstavat ve svém pohybovém stavu. Proto máme v autech bezpečnostní pásy - když auto zastaví, ty máš tendenci pokračovat v pohybu!
💡 Pamatuj si: Bez vnější síly = žádná změna pohybu!

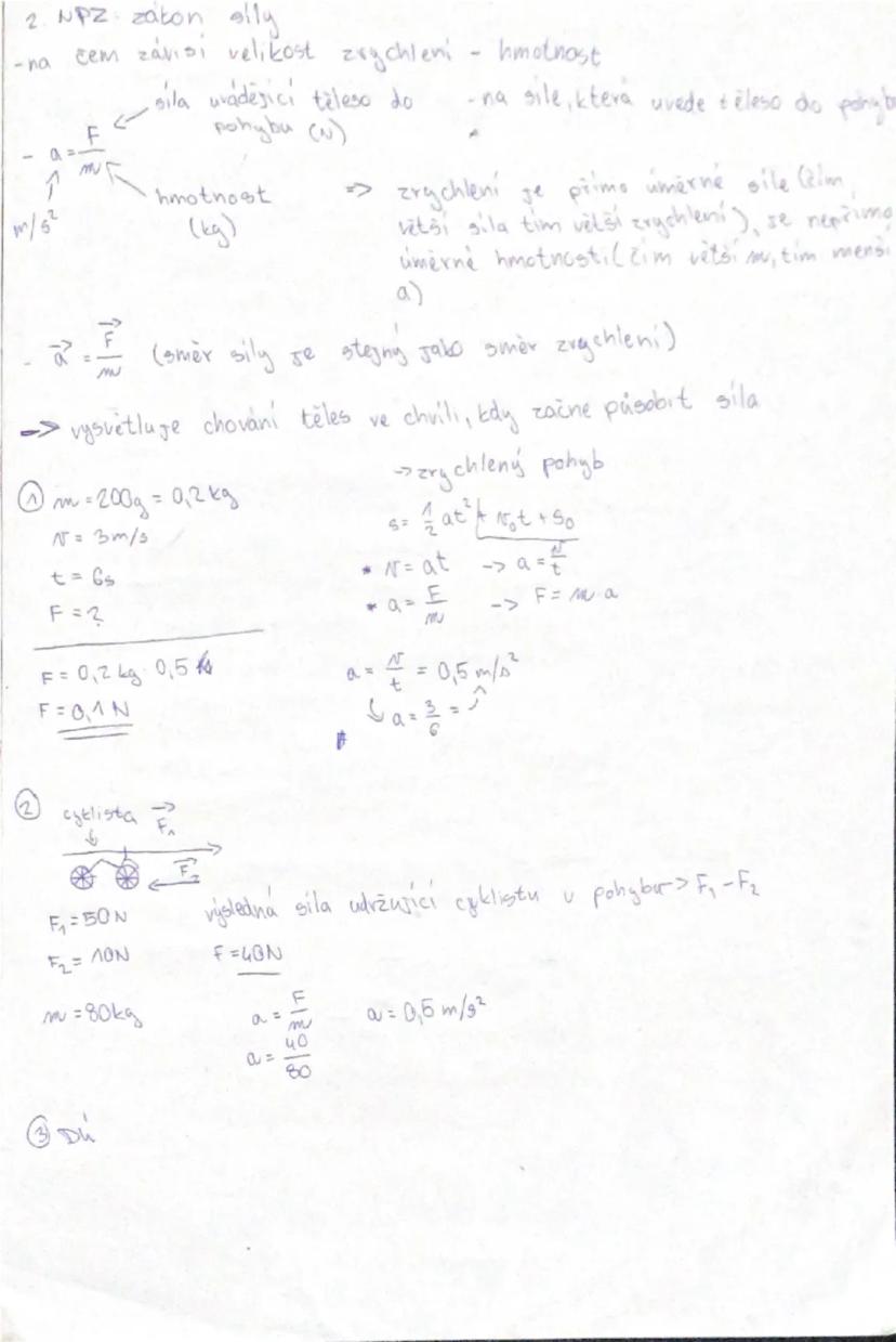
Druhý zákon ti řekne, jak moc se věci zrychlí. Zrychlení závisí na síle a hmotnosti: a = F/m. Čím větší síla, tím větší zrychlení. Čím větší hmotnost, tím menší zrychlení.
Směr síly je stejný jako směr zrychlení - když tlačíš vozík doprava, zrychluje doprava. Tento zákon vysvětluje chování těles ve chvíli, kdy na ně začne působit síla.
Při řešení úloh často potřebuješ najít výslednou sílu. Například u cyklisty: síla šlapání 50 N dopředu mínus odpor vzduchu 10 N = výsledná síla 40 N. S hmotností 80 kg dostaneš zrychlení a = 40/80 = 0,5 m/s².
💡 Vzorec na zapamatování: F = ma

"Každá akce má svou reakci" - to je třetí zákon. Každá dvě tělesa na sebe působí stejně velkými silami opačného směru . Když střílíš ze zbraně, náboj letí dopředu (akce) a ty cítíš zpětný ráz (reakce).
Hybnost (p) charakterizuje pohyb tělesa: p = m⋅v. Čím těžší a rychlejší objekt, tím větší hybnost má. Směr hybnosti je stejný jako směr rychlosti.
Třetí zákon vidíš všude kolem sebe: rakety se pohybují díky výparyům paliva, ptáci mávají křídly dolů a vznášejí se nahoru, chobotnice vytlačuje vodu a pohybuje se dopředu.
💡 Příklady z přírody: Rejnok, medúzy, ptáci - všichni využívají akci a reakci!

Celková hybnost izolované soustavy těles zůstává konstantní - to je zákon zachování hybnosti (ZZH). Jednoduše řečeno: v uzavřené soustavě se hybnost nikdy neztratí, jen se přerozdělí.
Existují dva typy srážek: pružné (tělesa se po nárazu oddálí) a nepružné (tělesa se "slepí" dohromady). V obou případech platí ZZH: hybnost před srážkou = hybnost po srážce.
Praktické využití najdeš například u vlakových vagónků. Když se pohybující vagónek srazí s nepohybujícím, hybnost se rozdělí mezi oba - rychlejší vagónek zpomalí, pomalejší zrychlí.
💡 Klíčový vztah: p_před = p_po

Když se něco pohybuje po povrchu, vždycky působí síly proti pohybu. Při smýkání (posouvání) to je třecí síla , při valení to je valivý odpor .
Třecí síla závisí na hmotnosti tělesa a drsnosti povrchu, ale překvapivě nezávisí na velikosti styčné plochy ani rychlosti! Vypočítáš ji vzorcem: F_t = f⋅F_N, kde f je součinitel smykového tření (najdeš v tabulkách).
Součinitel tření se liší podle materiálů: molitan má f = 1,2 (hodně tření), hladký šmirgel jen f = 0,1 (málo tření). Tření snížíš přidáním koleček - čím větší, tím lepší!
💡 Praktický tip: Velká kolečka na kufru nejsou náhoda - snižují valivý odpor!

Při řešení úloh s třením musíš najít výslednou sílu: F_výsledná = F_působící - F_třecí. Normálová síla F_N se rovná tíhové síle u vodorovných povrchů.
Postup řešení: nejdřív spočítej třecí sílu , pak výslednou sílu, nakonec zrychlení . Nezapomeň, že třecí síla vždycky působí proti směru pohybu!
Neinerciální vztažné soustavy vznikają při zrychleném pohybu. V rozjíždějícím se vlaku cítíš setrvačnou sílu, která tě tlačí dozadu - reakci na zrychlení vlaku.
💡 Pamatka: Třecí síla = součinitel × normálová síla

Ve výtahu krásně pocítíš setrvačné síly. Když výtah stojí nebo jede konstantní rychlostí, cítíš svou normální váhu . Když výtah zrychluje nahoru, cítíš se těžší .
Když výtah zrychluje dolů, cítíš se lehčí . Setrvačná síla má vždycky opačný směr než zrychlení výtahu a vypočítáš ji: F_s = ma.
V neinerciálních soustavách neplatí první a třetí Newtonův zákon, ale druhý zákon platí - jen musíš započítat setrvačnou sílu. Tím si vysvětlíš, proč se v rozjíždějícím se vlaku kutálí míček sám od sebe.
💡 Tip na zapamatování: Zrychlení nahoru = cítíš se těžší, zrychlení dolů = cítíš se lehčí

Při výpočtech s výtahem rozlišuj tři situace: konstantní rychlost , zrychlení nahoru a zrychlení dolů .
Pro konstantní rychlost 2 m/s je zrychlení nulové, takže síla se rovná pouze tíhové síle . Při zrychlení 2 m/s² nahoru přičteš setrvačnou sílu, při zrychlení dolů ji odečteš.
Setrvačnou sílu vypočítáš vždycky F_s = ma, kde a je zrychlení výtahu. Směr kreslíš vždycky opačně než je směr zrychlení výtahu.
💡 Rychlý test: V zrcadle ve výtahu vidíš, kdy se výtah rozjíždí - tvá tvář se "deformuje"!
Náš AI společník je speciálně vytvořen pro potřeby studentů. Na základě milionů obsahových materiálů, které máme na platformě, můžeme studentům poskytovat opravdu smysluplné a relevantní odpovědi. Ale nejde jen o odpovědi, společník je ještě více o provázení studentů jejich každodenními výzvami v učení, s personalizovanými studijními plány, kvízy nebo obsahovými materiály v chatu a 100% personalizací na základě dovedností a vývoje studentů.
Aplikaci si můžete stáhnout z obchodu Google Play a Apple App Store.
Ano, máte bezplatný přístup k obsahu v aplikaci a k našemu společníkovi s umělou inteligencí. Chcete-li odemknout určité funkce aplikace, můžete si zakoupit aplikaci Knowunity Pro.
App Store
Google Play
Aplikace je velmi jednoduchá na používání a dobře navržená. Zatím jsem našel vše, co jsem hledal, a mohl jsem se z prezentací hodně naučit! Určitě použiju aplikaci na školní úkol! A samozřejmě taky hodně pomáhá jako inspirace.
Stefan S
uživatel iOS
Tahle aplikace je fakt skvělá. Je tam tolik studijních poznámek a pomůcek [...]. Můj problémový předmět je například francouzština a aplikace nabízí tolik možností pomoci. Díky této aplikaci jsem si zlepšil francouzštinu. Doporučil bych ji každému.
Samantha Klich
uživatelka Androidu
Páni, jsem opravdu ohromen. Zkusil jsem aplikaci jen proto, že jsem ji mnohokrát viděl v reklamách, a byl jsem naprosto ohromen. Tato aplikace je TA POMOC, kterou chceš do školy, a především nabízí spoustu věcí, jako jsou cvičení a přehledy faktů, které mi osobně VELMI pomohly.
Anna
uživatelka iOS
Dříve jsem měl problémy s dokončováním úkolů včas, dokud jsem neobjevil Knowunity, který nejen usnadňuje nahrávání mého vlastního obsahu, ale také poskytuje skvělé shrnutí, díky kterým je moje práce rychlejší a efektivnější.
Thomas R
uživatel iOS
Vždy bylo výzvou najít všechny důležité informace pro mé úkoly – od té doby, co používám Knowunity, můžu jednoduše nahrát svůj obsah a těžit ze shrnutí ostatních, což mi hodně pomáhá s organizací.
Lisa M
uživatelka Androidu
Často jsem měl pocit, že nemám dostatečný přehled při učení, ale od té doby, co používám Knowunity, to už neplatí – nahraju svůj obsah a vždy najdu užitečná shrnutí na platformě, což mi učení značně usnadňuje.
David K
uživatel iOS
Ta aplikace je prostě skvělá! Stačí zadat téma do vyhledávání a dostanu odpověď opravdu rychle. Nemusím koukat na 10 YouTube videí, abych něčemu porozuměl, takže šetřím čas. Vřele doporučuji!
Sudenaz Ocak
uživatel Androidu
Ve škole mi matematika vůbec nešla, ale díky této aplikaci se mi teď daří lépe. Jsem moc vděčný, že jste tuhle aplikaci vytvořili.
Greenlight Bonnie
uživatel Androidu
Dřív bylo opravdu těžké shromáždit všechny informace na moje prezentace. Ale od té doby, co používám Knowunity, prostě nahraju svoje poznámky a najdu skvělé souhrny od ostatních – díky tomu je moje studium mnohem efektivnější!
Julia S
uživatelka Androidu
Byl jsem neustále ve stresu kvůli všem studijním materiálům, ale od té doby, co používám Knowunity, nahrávám svoje věci a koukám na super souhrny od ostatních – opravdu mi to pomáhá všechno lépe zvládat a je to mnohem méně stresující.
Marco B
uživatel iOS
TY KVÍZY A KARTIČKY SOU TAK UŽITEČNÝ A MILUJU Knowunity AI. JE TO TAKY DOSLOVA JAKO CHATGPT ALE CHYTŘEJŠÍ!! POMOHLO MI TO I S PROBLÉMY S ŘASENKOU!! A TAKY S MÝMA SKUTEČNÝMA PŘEDMĚTAMA! JASNÝ 😍😁😲🤑💗✨🎀😮
Sarah L
uživatelka Androidu
Dřív jsem trávil hodiny googlováním školních materiálů, ale teď prostě nahraju svoje věci na Knowunity a prohlížím si užitečné souhrny od ostatních – při přípravě na zkoušky se cítím mnohem jistější.
Paul T
uživatel iOS
Aplikace je velmi jednoduchá na používání a dobře navržená. Zatím jsem našel vše, co jsem hledal, a mohl jsem se z prezentací hodně naučit! Určitě použiju aplikaci na školní úkol! A samozřejmě taky hodně pomáhá jako inspirace.
Stefan S
uživatel iOS
Tahle aplikace je fakt skvělá. Je tam tolik studijních poznámek a pomůcek [...]. Můj problémový předmět je například francouzština a aplikace nabízí tolik možností pomoci. Díky této aplikaci jsem si zlepšil francouzštinu. Doporučil bych ji každému.
Samantha Klich
uživatelka Androidu
Páni, jsem opravdu ohromen. Zkusil jsem aplikaci jen proto, že jsem ji mnohokrát viděl v reklamách, a byl jsem naprosto ohromen. Tato aplikace je TA POMOC, kterou chceš do školy, a především nabízí spoustu věcí, jako jsou cvičení a přehledy faktů, které mi osobně VELMI pomohly.
Anna
uživatelka iOS
Dříve jsem měl problémy s dokončováním úkolů včas, dokud jsem neobjevil Knowunity, který nejen usnadňuje nahrávání mého vlastního obsahu, ale také poskytuje skvělé shrnutí, díky kterým je moje práce rychlejší a efektivnější.
Thomas R
uživatel iOS
Vždy bylo výzvou najít všechny důležité informace pro mé úkoly – od té doby, co používám Knowunity, můžu jednoduše nahrát svůj obsah a těžit ze shrnutí ostatních, což mi hodně pomáhá s organizací.
Lisa M
uživatelka Androidu
Často jsem měl pocit, že nemám dostatečný přehled při učení, ale od té doby, co používám Knowunity, to už neplatí – nahraju svůj obsah a vždy najdu užitečná shrnutí na platformě, což mi učení značně usnadňuje.
David K
uživatel iOS
Ta aplikace je prostě skvělá! Stačí zadat téma do vyhledávání a dostanu odpověď opravdu rychle. Nemusím koukat na 10 YouTube videí, abych něčemu porozuměl, takže šetřím čas. Vřele doporučuji!
Sudenaz Ocak
uživatel Androidu
Ve škole mi matematika vůbec nešla, ale díky této aplikaci se mi teď daří lépe. Jsem moc vděčný, že jste tuhle aplikaci vytvořili.
Greenlight Bonnie
uživatel Androidu
Dřív bylo opravdu těžké shromáždit všechny informace na moje prezentace. Ale od té doby, co používám Knowunity, prostě nahraju svoje poznámky a najdu skvělé souhrny od ostatních – díky tomu je moje studium mnohem efektivnější!
Julia S
uživatelka Androidu
Byl jsem neustále ve stresu kvůli všem studijním materiálům, ale od té doby, co používám Knowunity, nahrávám svoje věci a koukám na super souhrny od ostatních – opravdu mi to pomáhá všechno lépe zvládat a je to mnohem méně stresující.
Marco B
uživatel iOS
TY KVÍZY A KARTIČKY SOU TAK UŽITEČNÝ A MILUJU Knowunity AI. JE TO TAKY DOSLOVA JAKO CHATGPT ALE CHYTŘEJŠÍ!! POMOHLO MI TO I S PROBLÉMY S ŘASENKOU!! A TAKY S MÝMA SKUTEČNÝMA PŘEDMĚTAMA! JASNÝ 😍😁😲🤑💗✨🎀😮
Sarah L
uživatelka Androidu
Dřív jsem trávil hodiny googlováním školních materiálů, ale teď prostě nahraju svoje věci na Knowunity a prohlížím si užitečné souhrny od ostatních – při přípravě na zkoušky se cítím mnohem jistější.
Paul T
uživatel iOS
Vanesa Pospíšilová
@vanesapospilov
Mechanika se skládá ze statiky a dynamiky. Zatímco statika se zabývá objekty v klidu, dynamika zkoumá pohyb a ptá se na tu nejdůležitější otázku: "Proč se věci pohybují?" Odpověď najdeš v síle a Newtonových zákonech.

Přístup ke všem dokumentům
Zlepši své známky
Připoj se k milionům studentů
Dynamika je ta část fyziky, která ti vysvětlí, proč se fotbalový míč rozletí, když do něj kopneš. Síla (F) je základní veličina, která charakterizuje vzájemné silové působení těles - prostě řečeno, je to "tlačení" nebo "tahání" mezi objekty.
Síla má dva hlavní účinky: pohybové (uvedení do pohybu, zrychlení, zpomalení) a deformační (trvalé jako zlomená kost, nebo dočasné jako facka). Jednotka síly je newton (N), kde 1 N = 1 kg⋅m/s².
Existují dva typy vztažných soustav: inerciální (v klidu nebo rovnoměrném přímočarém pohybu) a neinerciální (zrychlený pohyb). V inerciálních soustavách platí všechny tři Newtonové zákony.
💡 Tip: Izolované těleso je takové, na které nepůsobí vnější síly - výslednice všech sil je nulová.

Přístup ke všem dokumentům
Zlepši své známky
Připoj se k milionům studentů
Představ si, že jedeš autem a řidič náhle zabrzdí. Tvoje tělo se "snaží" pokračovat v pohybu dopředu - to je setrvačnost v akci! První Newtonův zákon říká: každé těleso setrvává v klidu nebo rovnoměrném přímočarém pohybu, dokud není donuceno vnějšími silami svůj pohybový stav změnit.
Když stojíš, tíhová síla tě táhne dolů, ale normálová síla od podložky tě tlačí nahoru - tyto síly se vyruší . Když jdeš konstantní rychlostí, síla tvých nohou se rovná odporu vzduchu a tření.
Setrvačnost je schopnost tělesa zůstavat ve svém pohybovém stavu. Proto máme v autech bezpečnostní pásy - když auto zastaví, ty máš tendenci pokračovat v pohybu!
💡 Pamatuj si: Bez vnější síly = žádná změna pohybu!

Přístup ke všem dokumentům
Zlepši své známky
Připoj se k milionům studentů
Druhý zákon ti řekne, jak moc se věci zrychlí. Zrychlení závisí na síle a hmotnosti: a = F/m. Čím větší síla, tím větší zrychlení. Čím větší hmotnost, tím menší zrychlení.
Směr síly je stejný jako směr zrychlení - když tlačíš vozík doprava, zrychluje doprava. Tento zákon vysvětluje chování těles ve chvíli, kdy na ně začne působit síla.
Při řešení úloh často potřebuješ najít výslednou sílu. Například u cyklisty: síla šlapání 50 N dopředu mínus odpor vzduchu 10 N = výsledná síla 40 N. S hmotností 80 kg dostaneš zrychlení a = 40/80 = 0,5 m/s².
💡 Vzorec na zapamatování: F = ma

Přístup ke všem dokumentům
Zlepši své známky
Připoj se k milionům studentů
"Každá akce má svou reakci" - to je třetí zákon. Každá dvě tělesa na sebe působí stejně velkými silami opačného směru . Když střílíš ze zbraně, náboj letí dopředu (akce) a ty cítíš zpětný ráz (reakce).
Hybnost (p) charakterizuje pohyb tělesa: p = m⋅v. Čím těžší a rychlejší objekt, tím větší hybnost má. Směr hybnosti je stejný jako směr rychlosti.
Třetí zákon vidíš všude kolem sebe: rakety se pohybují díky výparyům paliva, ptáci mávají křídly dolů a vznášejí se nahoru, chobotnice vytlačuje vodu a pohybuje se dopředu.
💡 Příklady z přírody: Rejnok, medúzy, ptáci - všichni využívají akci a reakci!

Přístup ke všem dokumentům
Zlepši své známky
Připoj se k milionům studentů
Celková hybnost izolované soustavy těles zůstává konstantní - to je zákon zachování hybnosti (ZZH). Jednoduše řečeno: v uzavřené soustavě se hybnost nikdy neztratí, jen se přerozdělí.
Existují dva typy srážek: pružné (tělesa se po nárazu oddálí) a nepružné (tělesa se "slepí" dohromady). V obou případech platí ZZH: hybnost před srážkou = hybnost po srážce.
Praktické využití najdeš například u vlakových vagónků. Když se pohybující vagónek srazí s nepohybujícím, hybnost se rozdělí mezi oba - rychlejší vagónek zpomalí, pomalejší zrychlí.
💡 Klíčový vztah: p_před = p_po

Přístup ke všem dokumentům
Zlepši své známky
Připoj se k milionům studentů
Když se něco pohybuje po povrchu, vždycky působí síly proti pohybu. Při smýkání (posouvání) to je třecí síla , při valení to je valivý odpor .
Třecí síla závisí na hmotnosti tělesa a drsnosti povrchu, ale překvapivě nezávisí na velikosti styčné plochy ani rychlosti! Vypočítáš ji vzorcem: F_t = f⋅F_N, kde f je součinitel smykového tření (najdeš v tabulkách).
Součinitel tření se liší podle materiálů: molitan má f = 1,2 (hodně tření), hladký šmirgel jen f = 0,1 (málo tření). Tření snížíš přidáním koleček - čím větší, tím lepší!
💡 Praktický tip: Velká kolečka na kufru nejsou náhoda - snižují valivý odpor!

Přístup ke všem dokumentům
Zlepši své známky
Připoj se k milionům studentů
Při řešení úloh s třením musíš najít výslednou sílu: F_výsledná = F_působící - F_třecí. Normálová síla F_N se rovná tíhové síle u vodorovných povrchů.
Postup řešení: nejdřív spočítej třecí sílu , pak výslednou sílu, nakonec zrychlení . Nezapomeň, že třecí síla vždycky působí proti směru pohybu!
Neinerciální vztažné soustavy vznikają při zrychleném pohybu. V rozjíždějícím se vlaku cítíš setrvačnou sílu, která tě tlačí dozadu - reakci na zrychlení vlaku.
💡 Pamatka: Třecí síla = součinitel × normálová síla

Přístup ke všem dokumentům
Zlepši své známky
Připoj se k milionům studentů
Ve výtahu krásně pocítíš setrvačné síly. Když výtah stojí nebo jede konstantní rychlostí, cítíš svou normální váhu . Když výtah zrychluje nahoru, cítíš se těžší .
Když výtah zrychluje dolů, cítíš se lehčí . Setrvačná síla má vždycky opačný směr než zrychlení výtahu a vypočítáš ji: F_s = ma.
V neinerciálních soustavách neplatí první a třetí Newtonův zákon, ale druhý zákon platí - jen musíš započítat setrvačnou sílu. Tím si vysvětlíš, proč se v rozjíždějícím se vlaku kutálí míček sám od sebe.
💡 Tip na zapamatování: Zrychlení nahoru = cítíš se těžší, zrychlení dolů = cítíš se lehčí

Přístup ke všem dokumentům
Zlepši své známky
Připoj se k milionům studentů
Při výpočtech s výtahem rozlišuj tři situace: konstantní rychlost , zrychlení nahoru a zrychlení dolů .
Pro konstantní rychlost 2 m/s je zrychlení nulové, takže síla se rovná pouze tíhové síle . Při zrychlení 2 m/s² nahoru přičteš setrvačnou sílu, při zrychlení dolů ji odečteš.
Setrvačnou sílu vypočítáš vždycky F_s = ma, kde a je zrychlení výtahu. Směr kreslíš vždycky opačně než je směr zrychlení výtahu.
💡 Rychlý test: V zrcadle ve výtahu vidíš, kdy se výtah rozjíždí - tvá tvář se "deformuje"!
Náš AI společník je speciálně vytvořen pro potřeby studentů. Na základě milionů obsahových materiálů, které máme na platformě, můžeme studentům poskytovat opravdu smysluplné a relevantní odpovědi. Ale nejde jen o odpovědi, společník je ještě více o provázení studentů jejich každodenními výzvami v učení, s personalizovanými studijními plány, kvízy nebo obsahovými materiály v chatu a 100% personalizací na základě dovedností a vývoje studentů.
Aplikaci si můžete stáhnout z obchodu Google Play a Apple App Store.
Ano, máte bezplatný přístup k obsahu v aplikaci a k našemu společníkovi s umělou inteligencí. Chcete-li odemknout určité funkce aplikace, můžete si zakoupit aplikaci Knowunity Pro.
1
Chytré Nástroje NOVÉ
Přeměň tyto poznámky na: ✓ 50+ Cvičných Otázek ✓ Interaktivní Kartičky ✓ Úplný zkušební test ✓ Osnovy Esejů
App Store
Google Play
Aplikace je velmi jednoduchá na používání a dobře navržená. Zatím jsem našel vše, co jsem hledal, a mohl jsem se z prezentací hodně naučit! Určitě použiju aplikaci na školní úkol! A samozřejmě taky hodně pomáhá jako inspirace.
Stefan S
uživatel iOS
Tahle aplikace je fakt skvělá. Je tam tolik studijních poznámek a pomůcek [...]. Můj problémový předmět je například francouzština a aplikace nabízí tolik možností pomoci. Díky této aplikaci jsem si zlepšil francouzštinu. Doporučil bych ji každému.
Samantha Klich
uživatelka Androidu
Páni, jsem opravdu ohromen. Zkusil jsem aplikaci jen proto, že jsem ji mnohokrát viděl v reklamách, a byl jsem naprosto ohromen. Tato aplikace je TA POMOC, kterou chceš do školy, a především nabízí spoustu věcí, jako jsou cvičení a přehledy faktů, které mi osobně VELMI pomohly.
Anna
uživatelka iOS
Dříve jsem měl problémy s dokončováním úkolů včas, dokud jsem neobjevil Knowunity, který nejen usnadňuje nahrávání mého vlastního obsahu, ale také poskytuje skvělé shrnutí, díky kterým je moje práce rychlejší a efektivnější.
Thomas R
uživatel iOS
Vždy bylo výzvou najít všechny důležité informace pro mé úkoly – od té doby, co používám Knowunity, můžu jednoduše nahrát svůj obsah a těžit ze shrnutí ostatních, což mi hodně pomáhá s organizací.
Lisa M
uživatelka Androidu
Často jsem měl pocit, že nemám dostatečný přehled při učení, ale od té doby, co používám Knowunity, to už neplatí – nahraju svůj obsah a vždy najdu užitečná shrnutí na platformě, což mi učení značně usnadňuje.
David K
uživatel iOS
Ta aplikace je prostě skvělá! Stačí zadat téma do vyhledávání a dostanu odpověď opravdu rychle. Nemusím koukat na 10 YouTube videí, abych něčemu porozuměl, takže šetřím čas. Vřele doporučuji!
Sudenaz Ocak
uživatel Androidu
Ve škole mi matematika vůbec nešla, ale díky této aplikaci se mi teď daří lépe. Jsem moc vděčný, že jste tuhle aplikaci vytvořili.
Greenlight Bonnie
uživatel Androidu
Dřív bylo opravdu těžké shromáždit všechny informace na moje prezentace. Ale od té doby, co používám Knowunity, prostě nahraju svoje poznámky a najdu skvělé souhrny od ostatních – díky tomu je moje studium mnohem efektivnější!
Julia S
uživatelka Androidu
Byl jsem neustále ve stresu kvůli všem studijním materiálům, ale od té doby, co používám Knowunity, nahrávám svoje věci a koukám na super souhrny od ostatních – opravdu mi to pomáhá všechno lépe zvládat a je to mnohem méně stresující.
Marco B
uživatel iOS
TY KVÍZY A KARTIČKY SOU TAK UŽITEČNÝ A MILUJU Knowunity AI. JE TO TAKY DOSLOVA JAKO CHATGPT ALE CHYTŘEJŠÍ!! POMOHLO MI TO I S PROBLÉMY S ŘASENKOU!! A TAKY S MÝMA SKUTEČNÝMA PŘEDMĚTAMA! JASNÝ 😍😁😲🤑💗✨🎀😮
Sarah L
uživatelka Androidu
Dřív jsem trávil hodiny googlováním školních materiálů, ale teď prostě nahraju svoje věci na Knowunity a prohlížím si užitečné souhrny od ostatních – při přípravě na zkoušky se cítím mnohem jistější.
Paul T
uživatel iOS
Aplikace je velmi jednoduchá na používání a dobře navržená. Zatím jsem našel vše, co jsem hledal, a mohl jsem se z prezentací hodně naučit! Určitě použiju aplikaci na školní úkol! A samozřejmě taky hodně pomáhá jako inspirace.
Stefan S
uživatel iOS
Tahle aplikace je fakt skvělá. Je tam tolik studijních poznámek a pomůcek [...]. Můj problémový předmět je například francouzština a aplikace nabízí tolik možností pomoci. Díky této aplikaci jsem si zlepšil francouzštinu. Doporučil bych ji každému.
Samantha Klich
uživatelka Androidu
Páni, jsem opravdu ohromen. Zkusil jsem aplikaci jen proto, že jsem ji mnohokrát viděl v reklamách, a byl jsem naprosto ohromen. Tato aplikace je TA POMOC, kterou chceš do školy, a především nabízí spoustu věcí, jako jsou cvičení a přehledy faktů, které mi osobně VELMI pomohly.
Anna
uživatelka iOS
Dříve jsem měl problémy s dokončováním úkolů včas, dokud jsem neobjevil Knowunity, který nejen usnadňuje nahrávání mého vlastního obsahu, ale také poskytuje skvělé shrnutí, díky kterým je moje práce rychlejší a efektivnější.
Thomas R
uživatel iOS
Vždy bylo výzvou najít všechny důležité informace pro mé úkoly – od té doby, co používám Knowunity, můžu jednoduše nahrát svůj obsah a těžit ze shrnutí ostatních, což mi hodně pomáhá s organizací.
Lisa M
uživatelka Androidu
Často jsem měl pocit, že nemám dostatečný přehled při učení, ale od té doby, co používám Knowunity, to už neplatí – nahraju svůj obsah a vždy najdu užitečná shrnutí na platformě, což mi učení značně usnadňuje.
David K
uživatel iOS
Ta aplikace je prostě skvělá! Stačí zadat téma do vyhledávání a dostanu odpověď opravdu rychle. Nemusím koukat na 10 YouTube videí, abych něčemu porozuměl, takže šetřím čas. Vřele doporučuji!
Sudenaz Ocak
uživatel Androidu
Ve škole mi matematika vůbec nešla, ale díky této aplikaci se mi teď daří lépe. Jsem moc vděčný, že jste tuhle aplikaci vytvořili.
Greenlight Bonnie
uživatel Androidu
Dřív bylo opravdu těžké shromáždit všechny informace na moje prezentace. Ale od té doby, co používám Knowunity, prostě nahraju svoje poznámky a najdu skvělé souhrny od ostatních – díky tomu je moje studium mnohem efektivnější!
Julia S
uživatelka Androidu
Byl jsem neustále ve stresu kvůli všem studijním materiálům, ale od té doby, co používám Knowunity, nahrávám svoje věci a koukám na super souhrny od ostatních – opravdu mi to pomáhá všechno lépe zvládat a je to mnohem méně stresující.
Marco B
uživatel iOS
TY KVÍZY A KARTIČKY SOU TAK UŽITEČNÝ A MILUJU Knowunity AI. JE TO TAKY DOSLOVA JAKO CHATGPT ALE CHYTŘEJŠÍ!! POMOHLO MI TO I S PROBLÉMY S ŘASENKOU!! A TAKY S MÝMA SKUTEČNÝMA PŘEDMĚTAMA! JASNÝ 😍😁😲🤑💗✨🎀😮
Sarah L
uživatelka Androidu
Dřív jsem trávil hodiny googlováním školních materiálů, ale teď prostě nahraju svoje věci na Knowunity a prohlížím si užitečné souhrny od ostatních – při přípravě na zkoušky se cítím mnohem jistější.
Paul T
uživatel iOS