Velká francouzská revoluce byla zlomovým okamžikem v evropské historii, kdy... Zobrazit více
Registruj se, abys viděl obsahJe to zdarma!
Přístup ke všem dokumentům
Zlepši své známky
Připoj se k milionům studentů
Knowunity AI
Předměty
Triangle Congruence and Similarity Theorems
Triangle Properties and Classification
Linear Equations and Graphs
Geometric Angle Relationships
Trigonometric Functions and Identities
Equation Solving Techniques
Circle Geometry Fundamentals
Division Operations and Methods
Basic Differentiation Rules
Exponent and Logarithm Properties
Zobrazit všechna témata
Human Organ Systems
Reproductive Cell Cycles
Biological Sciences Subdisciplines
Cellular Energy Metabolism
Autotrophic Energy Processes
Inheritance Patterns and Principles
Biomolecular Structure and Organization
Cell Cycle and Division Mechanics
Cellular Organization and Development
Biological Structural Organization
Zobrazit všechna témata
Chemical Sciences and Applications
Atomic Structure and Composition
Molecular Electron Structure Representation
Atomic Electron Behavior
Matter Properties and Water
Mole Concept and Calculations
Gas Laws and Behavior
Periodic Table Organization
Chemical Thermodynamics Fundamentals
Chemical Bond Types and Properties
Zobrazit všechna témata
European Renaissance and Enlightenment
European Cultural Movements 800-1920
American Revolution Era 1763-1797
American Civil War 1861-1865
Global Imperial Systems
Mongol and Chinese Dynasties
U.S. Presidents and World Leaders
Historical Sources and Documentation
World Wars Era and Impact
World Religious Systems
Zobrazit všechna témata
Classic and Contemporary Novels
Literary Character Analysis
Rhetorical Theory and Practice
Classic Literary Narratives
Reading Analysis and Interpretation
Narrative Structure and Techniques
English Language Components
Influential English-Language Authors
Basic Sentence Structure
Narrative Voice and Perspective
Zobrazit všechna témata
211
•
Aktualizováno Apr 30, 2026
•
Michaela Kubová
@michaelakubov
Velká francouzská revoluce byla zlomovým okamžikem v evropské historii, kdy... Zobrazit více





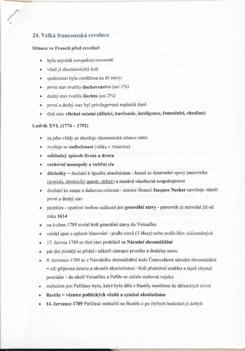
Francie na konci 18. století byla největší evropskou mocností, ale trápily ji obrovské problémy. Absolutistický král Ludvík XVI. vládl společnosti rozdělené do tří stavů - privilegované duchovenstvo a šlechta neplatily daně, zatímco všichni ostatní (třetí stav) nesli veškeré daňové břemeno.
Ekonomická krize byla katastrofální. Státní kasa se vyprázdnila kvůli nákladným válkám v Americe a luxusnímu životu na královském dvoře. Když se pokusili zdanit i privilegované stavy, museli svolat generální stavy, které se nescházely od roku 1614.
Tip: Datum 14. července se dodnes slaví jako francouzský národní svátek!

Po dobytí Bastily převzaly moc místní komuny (obecní rady) a vznikly Národní gardy pod vedením Markýze de La Fayette. Na venkově vypukla selská válka - rolníci útočili na šlechtice a odmítali plnit své povinnosti.
V srpnu 1789 Národní shromáždění zrušilo feudalismus a zavedlo rovnost před zákonem. 26. srpna byla přijata slavná Deklarace práv člověka a občana, která zaručovala svobodu, rovnost a právo na odpor proti tyranské vládě.
V září 1791 vznikla ústava, která proměnila Francii v konstituční monarchii. Moc se rozdělila mezi krále (výkonná), Národní shromáždění (zákonodárná) a volené soudce. Na politické scéně se objevily kluby - radikální Jakobíni v čele s Robespierrem, Cordeliéři vedení Maratem a Dantonem a umírnění Girondisti.
Zajímavost: Když se král pokusil v červnu 1791 utéct ze země, byl poznán a vrácen - jeho prestiž byla nenávratně poškozena.

Situace se rychle radikalizovala. V roce 1792 Francie vyhlásila válku Rakousku a vznikla první protifrancouzska koalice. V srpnu vypuklo v Paříži povstání vedené Georgesem Dantonem - král byl sesazen a zajat.
Moc převzala revoluční komuna a byly vyhlášeny volby do Národního konventu. Francouzská armáda zastavila postup intervencí u Valmy, kde poprvé zazněla Marseillaisa. Girondisti, kteří převzali vedení republiky, začali řešit problémy revolučním terorem.
Spor mezi Girondisty a Jakobíny vygraduval v roce 1793. 21. ledna 1793 byl král Ludvík XVI. popraven gilotinou a později i královna Marie Antoinetta. V červnu 1793 byli Girondisti svrženi povstáním a k moci se dostali Jakobíni.
Pamatuj si: Poprava krále šokovala celou Evropu a přivedla proti Francii další nepřátele.

Jakobínská diktatura pod vedením Robespierra zavedla tvrdé reformy. Zrušili feudální práva bez náhrady, stanovili maximální ceny potravin i mezd a pokusili se odstranit křesťanství. Udržovali moc pomocí strachu a revolučního teroru.
V červenci 1794 byl Robespierre sám popraven, protože chystal další vlnu poprav. Jakobínský klub byl zrušen a k moci se dostala bohatá buržoazie, která vytvořila Direktorium (1794-1799).
Nová ústava z roku 1795 omezila volební právo podle majetku. Direktorium se drželo u moci jen díky armádě, jejímž vrchním velitelem se v roce 1796 stal Napoleon Bonaparte. Francie anektovala Belgii, ovládla břeh Rýna a vytvořila loutkové republiky v Itálii.
Posledním protivníkem zůstala Anglie, proti které Napoleon naplánoval tažení do Egypta. Tím skončila revoluční éra a začínala napoleonská.
Klíčové: Revoluce změnila nejen Francii, ale ovlivnila vývoj celé Evropy směrem k demokratickým ideálům.
Náš AI společník je speciálně vytvořen pro potřeby studentů. Na základě milionů obsahových materiálů, které máme na platformě, můžeme studentům poskytovat opravdu smysluplné a relevantní odpovědi. Ale nejde jen o odpovědi, společník je ještě více o provázení studentů jejich každodenními výzvami v učení, s personalizovanými studijními plány, kvízy nebo obsahovými materiály v chatu a 100% personalizací na základě dovedností a vývoje studentů.
Aplikaci si můžete stáhnout z obchodu Google Play a Apple App Store.
Ano, máte bezplatný přístup k obsahu v aplikaci a k našemu společníkovi s umělou inteligencí. Chcete-li odemknout určité funkce aplikace, můžete si zakoupit aplikaci Knowunity Pro.
App Store
Google Play
Aplikace je velmi jednoduchá na používání a dobře navržená. Zatím jsem našel vše, co jsem hledal, a mohl jsem se z prezentací hodně naučit! Určitě použiju aplikaci na školní úkol! A samozřejmě taky hodně pomáhá jako inspirace.
Stefan S
uživatel iOS
Tahle aplikace je fakt skvělá. Je tam tolik studijních poznámek a pomůcek [...]. Můj problémový předmět je například francouzština a aplikace nabízí tolik možností pomoci. Díky této aplikaci jsem si zlepšil francouzštinu. Doporučil bych ji každému.
Samantha Klich
uživatelka Androidu
Páni, jsem opravdu ohromen. Zkusil jsem aplikaci jen proto, že jsem ji mnohokrát viděl v reklamách, a byl jsem naprosto ohromen. Tato aplikace je TA POMOC, kterou chceš do školy, a především nabízí spoustu věcí, jako jsou cvičení a přehledy faktů, které mi osobně VELMI pomohly.
Anna
uživatelka iOS
Dříve jsem měl problémy s dokončováním úkolů včas, dokud jsem neobjevil Knowunity, který nejen usnadňuje nahrávání mého vlastního obsahu, ale také poskytuje skvělé shrnutí, díky kterým je moje práce rychlejší a efektivnější.
Thomas R
uživatel iOS
Vždy bylo výzvou najít všechny důležité informace pro mé úkoly – od té doby, co používám Knowunity, můžu jednoduše nahrát svůj obsah a těžit ze shrnutí ostatních, což mi hodně pomáhá s organizací.
Lisa M
uživatelka Androidu
Často jsem měl pocit, že nemám dostatečný přehled při učení, ale od té doby, co používám Knowunity, to už neplatí – nahraju svůj obsah a vždy najdu užitečná shrnutí na platformě, což mi učení značně usnadňuje.
David K
uživatel iOS
Ta aplikace je prostě skvělá! Stačí zadat téma do vyhledávání a dostanu odpověď opravdu rychle. Nemusím koukat na 10 YouTube videí, abych něčemu porozuměl, takže šetřím čas. Vřele doporučuji!
Sudenaz Ocak
uživatel Androidu
Ve škole mi matematika vůbec nešla, ale díky této aplikaci se mi teď daří lépe. Jsem moc vděčný, že jste tuhle aplikaci vytvořili.
Greenlight Bonnie
uživatel Androidu
Dřív bylo opravdu těžké shromáždit všechny informace na moje prezentace. Ale od té doby, co používám Knowunity, prostě nahraju svoje poznámky a najdu skvělé souhrny od ostatních – díky tomu je moje studium mnohem efektivnější!
Julia S
uživatelka Androidu
Byl jsem neustále ve stresu kvůli všem studijním materiálům, ale od té doby, co používám Knowunity, nahrávám svoje věci a koukám na super souhrny od ostatních – opravdu mi to pomáhá všechno lépe zvládat a je to mnohem méně stresující.
Marco B
uživatel iOS
TY KVÍZY A KARTIČKY SOU TAK UŽITEČNÝ A MILUJU Knowunity AI. JE TO TAKY DOSLOVA JAKO CHATGPT ALE CHYTŘEJŠÍ!! POMOHLO MI TO I S PROBLÉMY S ŘASENKOU!! A TAKY S MÝMA SKUTEČNÝMA PŘEDMĚTAMA! JASNÝ 😍😁😲🤑💗✨🎀😮
Sarah L
uživatelka Androidu
Dřív jsem trávil hodiny googlováním školních materiálů, ale teď prostě nahraju svoje věci na Knowunity a prohlížím si užitečné souhrny od ostatních – při přípravě na zkoušky se cítím mnohem jistější.
Paul T
uživatel iOS
Aplikace je velmi jednoduchá na používání a dobře navržená. Zatím jsem našel vše, co jsem hledal, a mohl jsem se z prezentací hodně naučit! Určitě použiju aplikaci na školní úkol! A samozřejmě taky hodně pomáhá jako inspirace.
Stefan S
uživatel iOS
Tahle aplikace je fakt skvělá. Je tam tolik studijních poznámek a pomůcek [...]. Můj problémový předmět je například francouzština a aplikace nabízí tolik možností pomoci. Díky této aplikaci jsem si zlepšil francouzštinu. Doporučil bych ji každému.
Samantha Klich
uživatelka Androidu
Páni, jsem opravdu ohromen. Zkusil jsem aplikaci jen proto, že jsem ji mnohokrát viděl v reklamách, a byl jsem naprosto ohromen. Tato aplikace je TA POMOC, kterou chceš do školy, a především nabízí spoustu věcí, jako jsou cvičení a přehledy faktů, které mi osobně VELMI pomohly.
Anna
uživatelka iOS
Dříve jsem měl problémy s dokončováním úkolů včas, dokud jsem neobjevil Knowunity, který nejen usnadňuje nahrávání mého vlastního obsahu, ale také poskytuje skvělé shrnutí, díky kterým je moje práce rychlejší a efektivnější.
Thomas R
uživatel iOS
Vždy bylo výzvou najít všechny důležité informace pro mé úkoly – od té doby, co používám Knowunity, můžu jednoduše nahrát svůj obsah a těžit ze shrnutí ostatních, což mi hodně pomáhá s organizací.
Lisa M
uživatelka Androidu
Často jsem měl pocit, že nemám dostatečný přehled při učení, ale od té doby, co používám Knowunity, to už neplatí – nahraju svůj obsah a vždy najdu užitečná shrnutí na platformě, což mi učení značně usnadňuje.
David K
uživatel iOS
Ta aplikace je prostě skvělá! Stačí zadat téma do vyhledávání a dostanu odpověď opravdu rychle. Nemusím koukat na 10 YouTube videí, abych něčemu porozuměl, takže šetřím čas. Vřele doporučuji!
Sudenaz Ocak
uživatel Androidu
Ve škole mi matematika vůbec nešla, ale díky této aplikaci se mi teď daří lépe. Jsem moc vděčný, že jste tuhle aplikaci vytvořili.
Greenlight Bonnie
uživatel Androidu
Dřív bylo opravdu těžké shromáždit všechny informace na moje prezentace. Ale od té doby, co používám Knowunity, prostě nahraju svoje poznámky a najdu skvělé souhrny od ostatních – díky tomu je moje studium mnohem efektivnější!
Julia S
uživatelka Androidu
Byl jsem neustále ve stresu kvůli všem studijním materiálům, ale od té doby, co používám Knowunity, nahrávám svoje věci a koukám na super souhrny od ostatních – opravdu mi to pomáhá všechno lépe zvládat a je to mnohem méně stresující.
Marco B
uživatel iOS
TY KVÍZY A KARTIČKY SOU TAK UŽITEČNÝ A MILUJU Knowunity AI. JE TO TAKY DOSLOVA JAKO CHATGPT ALE CHYTŘEJŠÍ!! POMOHLO MI TO I S PROBLÉMY S ŘASENKOU!! A TAKY S MÝMA SKUTEČNÝMA PŘEDMĚTAMA! JASNÝ 😍😁😲🤑💗✨🎀😮
Sarah L
uživatelka Androidu
Dřív jsem trávil hodiny googlováním školních materiálů, ale teď prostě nahraju svoje věci na Knowunity a prohlížím si užitečné souhrny od ostatních – při přípravě na zkoušky se cítím mnohem jistější.
Paul T
uživatel iOS
Michaela Kubová
@michaelakubov
Velká francouzská revoluce byla zlomovým okamžikem v evropské historii, kdy se lid postavil proti absolutistické moci krále. Během deseti let (1789-1799) se Francie proměnila z monarchie v republiku prostřednictvím bouřlivých změn, které ovlivnily celý svět.

Přístup ke všem dokumentům
Zlepši své známky
Připoj se k milionům studentů
Francie na konci 18. století byla největší evropskou mocností, ale trápily ji obrovské problémy. Absolutistický král Ludvík XVI. vládl společnosti rozdělené do tří stavů - privilegované duchovenstvo a šlechta neplatily daně, zatímco všichni ostatní (třetí stav) nesli veškeré daňové břemeno.
Ekonomická krize byla katastrofální. Státní kasa se vyprázdnila kvůli nákladným válkám v Americe a luxusnímu životu na královském dvoře. Když se pokusili zdanit i privilegované stavy, museli svolat generální stavy, které se nescházely od roku 1614.
Tip: Datum 14. července se dodnes slaví jako francouzský národní svátek!

Přístup ke všem dokumentům
Zlepši své známky
Připoj se k milionům studentů
Po dobytí Bastily převzaly moc místní komuny (obecní rady) a vznikly Národní gardy pod vedením Markýze de La Fayette. Na venkově vypukla selská válka - rolníci útočili na šlechtice a odmítali plnit své povinnosti.
V srpnu 1789 Národní shromáždění zrušilo feudalismus a zavedlo rovnost před zákonem. 26. srpna byla přijata slavná Deklarace práv člověka a občana, která zaručovala svobodu, rovnost a právo na odpor proti tyranské vládě.
V září 1791 vznikla ústava, která proměnila Francii v konstituční monarchii. Moc se rozdělila mezi krále (výkonná), Národní shromáždění (zákonodárná) a volené soudce. Na politické scéně se objevily kluby - radikální Jakobíni v čele s Robespierrem, Cordeliéři vedení Maratem a Dantonem a umírnění Girondisti.
Zajímavost: Když se král pokusil v červnu 1791 utéct ze země, byl poznán a vrácen - jeho prestiž byla nenávratně poškozena.

Přístup ke všem dokumentům
Zlepši své známky
Připoj se k milionům studentů
Situace se rychle radikalizovala. V roce 1792 Francie vyhlásila válku Rakousku a vznikla první protifrancouzska koalice. V srpnu vypuklo v Paříži povstání vedené Georgesem Dantonem - král byl sesazen a zajat.
Moc převzala revoluční komuna a byly vyhlášeny volby do Národního konventu. Francouzská armáda zastavila postup intervencí u Valmy, kde poprvé zazněla Marseillaisa. Girondisti, kteří převzali vedení republiky, začali řešit problémy revolučním terorem.
Spor mezi Girondisty a Jakobíny vygraduval v roce 1793. 21. ledna 1793 byl král Ludvík XVI. popraven gilotinou a později i královna Marie Antoinetta. V červnu 1793 byli Girondisti svrženi povstáním a k moci se dostali Jakobíni.
Pamatuj si: Poprava krále šokovala celou Evropu a přivedla proti Francii další nepřátele.

Přístup ke všem dokumentům
Zlepši své známky
Připoj se k milionům studentů
Jakobínská diktatura pod vedením Robespierra zavedla tvrdé reformy. Zrušili feudální práva bez náhrady, stanovili maximální ceny potravin i mezd a pokusili se odstranit křesťanství. Udržovali moc pomocí strachu a revolučního teroru.
V červenci 1794 byl Robespierre sám popraven, protože chystal další vlnu poprav. Jakobínský klub byl zrušen a k moci se dostala bohatá buržoazie, která vytvořila Direktorium (1794-1799).
Nová ústava z roku 1795 omezila volební právo podle majetku. Direktorium se drželo u moci jen díky armádě, jejímž vrchním velitelem se v roce 1796 stal Napoleon Bonaparte. Francie anektovala Belgii, ovládla břeh Rýna a vytvořila loutkové republiky v Itálii.
Posledním protivníkem zůstala Anglie, proti které Napoleon naplánoval tažení do Egypta. Tím skončila revoluční éra a začínala napoleonská.
Klíčové: Revoluce změnila nejen Francii, ale ovlivnila vývoj celé Evropy směrem k demokratickým ideálům.
Náš AI společník je speciálně vytvořen pro potřeby studentů. Na základě milionů obsahových materiálů, které máme na platformě, můžeme studentům poskytovat opravdu smysluplné a relevantní odpovědi. Ale nejde jen o odpovědi, společník je ještě více o provázení studentů jejich každodenními výzvami v učení, s personalizovanými studijními plány, kvízy nebo obsahovými materiály v chatu a 100% personalizací na základě dovedností a vývoje studentů.
Aplikaci si můžete stáhnout z obchodu Google Play a Apple App Store.
Ano, máte bezplatný přístup k obsahu v aplikaci a k našemu společníkovi s umělou inteligencí. Chcete-li odemknout určité funkce aplikace, můžete si zakoupit aplikaci Knowunity Pro.
3
Chytré Nástroje NOVÉ
Přeměň tyto poznámky na: ✓ 50+ Cvičných Otázek ✓ Interaktivní Kartičky ✓ Úplný zkušební test ✓ Osnovy Esejů
App Store
Google Play
Aplikace je velmi jednoduchá na používání a dobře navržená. Zatím jsem našel vše, co jsem hledal, a mohl jsem se z prezentací hodně naučit! Určitě použiju aplikaci na školní úkol! A samozřejmě taky hodně pomáhá jako inspirace.
Stefan S
uživatel iOS
Tahle aplikace je fakt skvělá. Je tam tolik studijních poznámek a pomůcek [...]. Můj problémový předmět je například francouzština a aplikace nabízí tolik možností pomoci. Díky této aplikaci jsem si zlepšil francouzštinu. Doporučil bych ji každému.
Samantha Klich
uživatelka Androidu
Páni, jsem opravdu ohromen. Zkusil jsem aplikaci jen proto, že jsem ji mnohokrát viděl v reklamách, a byl jsem naprosto ohromen. Tato aplikace je TA POMOC, kterou chceš do školy, a především nabízí spoustu věcí, jako jsou cvičení a přehledy faktů, které mi osobně VELMI pomohly.
Anna
uživatelka iOS
Dříve jsem měl problémy s dokončováním úkolů včas, dokud jsem neobjevil Knowunity, který nejen usnadňuje nahrávání mého vlastního obsahu, ale také poskytuje skvělé shrnutí, díky kterým je moje práce rychlejší a efektivnější.
Thomas R
uživatel iOS
Vždy bylo výzvou najít všechny důležité informace pro mé úkoly – od té doby, co používám Knowunity, můžu jednoduše nahrát svůj obsah a těžit ze shrnutí ostatních, což mi hodně pomáhá s organizací.
Lisa M
uživatelka Androidu
Často jsem měl pocit, že nemám dostatečný přehled při učení, ale od té doby, co používám Knowunity, to už neplatí – nahraju svůj obsah a vždy najdu užitečná shrnutí na platformě, což mi učení značně usnadňuje.
David K
uživatel iOS
Ta aplikace je prostě skvělá! Stačí zadat téma do vyhledávání a dostanu odpověď opravdu rychle. Nemusím koukat na 10 YouTube videí, abych něčemu porozuměl, takže šetřím čas. Vřele doporučuji!
Sudenaz Ocak
uživatel Androidu
Ve škole mi matematika vůbec nešla, ale díky této aplikaci se mi teď daří lépe. Jsem moc vděčný, že jste tuhle aplikaci vytvořili.
Greenlight Bonnie
uživatel Androidu
Dřív bylo opravdu těžké shromáždit všechny informace na moje prezentace. Ale od té doby, co používám Knowunity, prostě nahraju svoje poznámky a najdu skvělé souhrny od ostatních – díky tomu je moje studium mnohem efektivnější!
Julia S
uživatelka Androidu
Byl jsem neustále ve stresu kvůli všem studijním materiálům, ale od té doby, co používám Knowunity, nahrávám svoje věci a koukám na super souhrny od ostatních – opravdu mi to pomáhá všechno lépe zvládat a je to mnohem méně stresující.
Marco B
uživatel iOS
TY KVÍZY A KARTIČKY SOU TAK UŽITEČNÝ A MILUJU Knowunity AI. JE TO TAKY DOSLOVA JAKO CHATGPT ALE CHYTŘEJŠÍ!! POMOHLO MI TO I S PROBLÉMY S ŘASENKOU!! A TAKY S MÝMA SKUTEČNÝMA PŘEDMĚTAMA! JASNÝ 😍😁😲🤑💗✨🎀😮
Sarah L
uživatelka Androidu
Dřív jsem trávil hodiny googlováním školních materiálů, ale teď prostě nahraju svoje věci na Knowunity a prohlížím si užitečné souhrny od ostatních – při přípravě na zkoušky se cítím mnohem jistější.
Paul T
uživatel iOS
Aplikace je velmi jednoduchá na používání a dobře navržená. Zatím jsem našel vše, co jsem hledal, a mohl jsem se z prezentací hodně naučit! Určitě použiju aplikaci na školní úkol! A samozřejmě taky hodně pomáhá jako inspirace.
Stefan S
uživatel iOS
Tahle aplikace je fakt skvělá. Je tam tolik studijních poznámek a pomůcek [...]. Můj problémový předmět je například francouzština a aplikace nabízí tolik možností pomoci. Díky této aplikaci jsem si zlepšil francouzštinu. Doporučil bych ji každému.
Samantha Klich
uživatelka Androidu
Páni, jsem opravdu ohromen. Zkusil jsem aplikaci jen proto, že jsem ji mnohokrát viděl v reklamách, a byl jsem naprosto ohromen. Tato aplikace je TA POMOC, kterou chceš do školy, a především nabízí spoustu věcí, jako jsou cvičení a přehledy faktů, které mi osobně VELMI pomohly.
Anna
uživatelka iOS
Dříve jsem měl problémy s dokončováním úkolů včas, dokud jsem neobjevil Knowunity, který nejen usnadňuje nahrávání mého vlastního obsahu, ale také poskytuje skvělé shrnutí, díky kterým je moje práce rychlejší a efektivnější.
Thomas R
uživatel iOS
Vždy bylo výzvou najít všechny důležité informace pro mé úkoly – od té doby, co používám Knowunity, můžu jednoduše nahrát svůj obsah a těžit ze shrnutí ostatních, což mi hodně pomáhá s organizací.
Lisa M
uživatelka Androidu
Často jsem měl pocit, že nemám dostatečný přehled při učení, ale od té doby, co používám Knowunity, to už neplatí – nahraju svůj obsah a vždy najdu užitečná shrnutí na platformě, což mi učení značně usnadňuje.
David K
uživatel iOS
Ta aplikace je prostě skvělá! Stačí zadat téma do vyhledávání a dostanu odpověď opravdu rychle. Nemusím koukat na 10 YouTube videí, abych něčemu porozuměl, takže šetřím čas. Vřele doporučuji!
Sudenaz Ocak
uživatel Androidu
Ve škole mi matematika vůbec nešla, ale díky této aplikaci se mi teď daří lépe. Jsem moc vděčný, že jste tuhle aplikaci vytvořili.
Greenlight Bonnie
uživatel Androidu
Dřív bylo opravdu těžké shromáždit všechny informace na moje prezentace. Ale od té doby, co používám Knowunity, prostě nahraju svoje poznámky a najdu skvělé souhrny od ostatních – díky tomu je moje studium mnohem efektivnější!
Julia S
uživatelka Androidu
Byl jsem neustále ve stresu kvůli všem studijním materiálům, ale od té doby, co používám Knowunity, nahrávám svoje věci a koukám na super souhrny od ostatních – opravdu mi to pomáhá všechno lépe zvládat a je to mnohem méně stresující.
Marco B
uživatel iOS
TY KVÍZY A KARTIČKY SOU TAK UŽITEČNÝ A MILUJU Knowunity AI. JE TO TAKY DOSLOVA JAKO CHATGPT ALE CHYTŘEJŠÍ!! POMOHLO MI TO I S PROBLÉMY S ŘASENKOU!! A TAKY S MÝMA SKUTEČNÝMA PŘEDMĚTAMA! JASNÝ 😍😁😲🤑💗✨🎀😮
Sarah L
uživatelka Androidu
Dřív jsem trávil hodiny googlováním školních materiálů, ale teď prostě nahraju svoje věci na Knowunity a prohlížím si užitečné souhrny od ostatních – při přípravě na zkoušky se cítím mnohem jistější.
Paul T
uživatel iOS